自考题库
首页
所有科目
自考历年真题
考试分类
关于本站
游客
账号设置
退出登录
注册
登录
出自:基础考试
流体中某点的真空值p
v
为75000Pa,当地大气压为0.1MPa,该点绝对压强为()。
A:75000Pa
B:-75000Pa
C:25000Pa
D:175000Pa
图示四个悬臂梁中挠曲线是圆弧的为:()
A:A
B:B
C:C
D:D
在图示结构中,横梁的跨度、刚度和荷载均相同,各加劲杆的刚度和竖杆位置也相同,其中横梁的正弯矩最小或负弯矩最大的是哪个图示的结构?()
A:A
B:B
C:C
D:D
已知直线AB的方位角
,则直线BC的方位角
为:( )
A:23°
B:157°
C:337°
D:-23°
受力情况相同的三种等截面梁(图5-7-18),它们分别由整块材料或两块材料并列或两块材料叠合(未粘接)组成,如图(1)、(2)、(3)所示。若用(σ
max
)
1
、(σ
max
)
2
、(σ
max
)
3
分别表示这三种梁中横截面上的最大正应力,则下列结论中哪个是正确的?()
A:A
B:B
C:C
D:D
岩石颗粒密度试验的比重瓶法适合于各类岩石。
图所示曲柄连杆机构处于平衡状态时,则()。
A:杆OA,AB都是二力杆
B:仅杆OA是二力杆
C:仅杆AB是二力杆
D:杆OA与AB都不是二力杆
进行挡土墙设计时,下列各项中()项不是计算土压力必要参数。
A:填土重度
B:填土的内摩擦角
C:填土对挡土墙背的摩擦角
D:填土的含水量
若将N原子轨道的电子排布式写成
,它违背了()。
A:能量守恒原理
B:能量最低原理
C:泡利不相容原理
D:洪特规则
桁架结构形式与荷载F均已知。结构中杆件内力为零的杆件数为:()
A:0根
B:2根
C:4根
D:6根
钻孔套心应力解除法比较适合不太深的钻孔,对于深度较大岩体的初始应力测量比较常用水压致裂法测试。
水管直径d=100mm,管中流速v=1m/s,运动粘度v=1.31×10
-6
m
2
/s,管中雷诺数为:()
A:54632
B:67653
C:76335
D:84892
土的渗透性试验是由()首先进行的。
A:太沙基
B:朗肯
C:库仑
D:达西
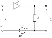
电路如图所示,D为理想二极管,ui=6sinωt(V),则输出电压的最大值UoM=()V。
A:-6
B:-3
C:3
D:6
岩石声波测试中,当()时岩石可以看做无限介质。
A:边界尺寸大于10倍波长
B:边界尺寸大于3倍波长
C:边界尺寸在5~10倍波长之间
D:边界尺寸小于5倍波长
含水量大小影响岩石的抗压强度。
下列关于现金流量表的表述中,正确的是:()
A:项目资本金现金流量表排除了融资方案的影响
B:通过项目投资现金流量表计算的评价指标反映投资者各方权益投资的获利能力
C:通过项目投资现金流量表可计算财务内部收益、财务净现值和投资回收期等评价指标
D:通过项目资本金现金流量表进行的分析反映了项目投资总体的获利能力
地基旁压试验是一种载荷试验。
假设图示三个受压结构失稳时临界压力分别为
,比较三者的大小,则:()
A:A
B:B
C:C
D:D
基桩破坏的主要模式包括桩身结构强度破坏和地基土强度破坏。
图示结构EI=常数,在给定荷载作用下,剪力Q
ab
为:()
A:1/
P
B:3P/16
C:P/2
D:
P
下列函数求导中,结果是
不正确
的是()
A:
B:
C:
D:
对于墙体接头、墙身质量均匀性及墙体深度的检测,最有效的无损检测方法是()
A:可控源音频大地电磁法
B:探地雷达法
C:注水试验法
D:静力触探法
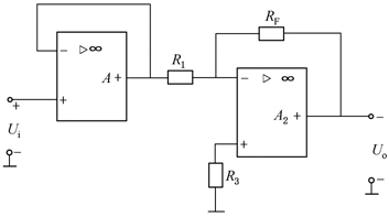
如图所示电路中,已知R
F
=2R
1
,U
i
=-2V,则输出电压UO=()V。
A:-6
B:-4
C:4
D:6
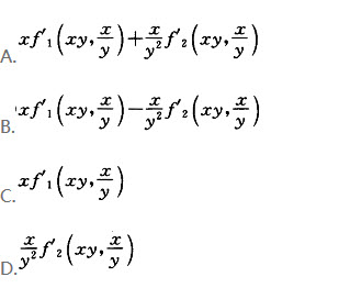
设函数f(u,v)具有一阶连续偏导数,
,则
()。
A:A
B:B
C:C
D:D
圈梁必须是封闭的,当砌体房屋的圈梁被门窗洞口截断时,应在洞口上部增设相同截面的附加圈梁,附加圈梁与原圈梁的搭接长度不应小于其垂直距离的多少倍(且不得小于1m)?()
A:1
B:1.5
C:2
D:1.2
图示水从密闭水箱通过L=100m的直管道流入大气。水箱顶部压力表读值19.6kPa,水深H=2m,管径d=200mm,沿程阻力系数λ=0.02,
=0.5,则管道通过的流量为()。
A:581/s
B:621/s
C:821/s
D:881/s
工程测量中,表示地面高低起伏状态时,一般用什么方法表示?()
A:不同深度的颜色
B:晕滃线
C:等高线
D:示坡线
信息、消息和信号意义不同,但三者又是互相关联的概念,信息指受信者预先不知道的新内容。下列说法中正确的是()。
A:信号用来表示信息的物理形式,消息是运载消息的工具
B:信息用来表示消息的物理形式,信号是运载消息的工具
C:消息用来表示信号的物理形式,信息是运载消息的工具
D:消息用来表示信息的物理形式,信号是运载消息的工具
下列关于经济效益和经济费用的表述中,正确的是:()
A:经济效益只考虑项目的直接效益
B:项目对提高社会福利和社会经济所作的贡献都记为经济效益
C:计算经济费用效益指标采用企业设定的折现率
D:影子价格是项目投入物和产出物的市场平均价格
首页
<上一页
23
24
25
26
27
下一页>
尾页