自考题库
首页
所有科目
自考历年真题
考试分类
关于本站
游客
账号设置
退出登录
注册
登录
出自:基础考试
下述哪种状态
不属于
基桩承载能力极限状态()
A:基桩达到最大承载力,超出该最大承载力即发生破坏
B:基桩出现不适于继续承载的变形
C:基桩发生整体失稳
D:桩身结构强度破坏
单桩水平载荷试验能测定()。
A:桩身的完整性
B:地基土的水平抗力系数
C:单桩水平承载力
298K时,金属锌放在1.0mol·L
-1
的Zn
2+
溶液中,其电极电势为
=-0.76V,若往锌盐溶液中滴加少量氨水,则电极电势应()。
A:增大
B:减小
C:不变
D:不能判断
下列哪个指标表征土工织物的孔径特征?()
A:孔径
B:等效孔径
C:渗透系数
D:通过率
七段显示器的各段符号如图所示,那么,字母“E”的共阴极七段显示器的显示码的abcdefg应该是()。
A:1001111
B:0110000
C:10110111
D:10001001
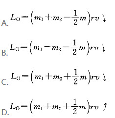
如图所示,两重物M
1
和M
2
的质量分别为m
1
和m
2
,两重物系在不计质量的软绳上,绳绕过匀质定滑轮,滑轮半径为r,质量为m,则此滑轮系统对转轴0之动量矩为:()
A:A
B:B
C:C
D:D
干容重超过一定数值时,黄土的湿陷性很弱或无湿陷性。
岩石饱水系数是指岩石自然吸水率与饱水系数的比值,以百分数表示。
在采用十字板测定土的抗剪强度时,钻孔深度应打到待测深度以上()cm处。
A:25
B:50
C:75
D:100
图示圆轴固定端最上缘A点的单元体的应力状态是()。
A:A
B:B
C:C
D:D
岩石压缩变形试验时,坚硬岩石宜采用()法。
A:电阻应变片
B:千分表
C:百分表
计算导线全长闭合差的公式是:()
A:
B:
C:
D:
在牛顿内摩擦定律中,内摩擦力的大小与()成正比。
A:速度
B:剪切变形的大小
C:速度梯度
D:压力
如图所示梁(等边角钢构成)发生的变形是下述中的哪种变形?()
A:平面弯曲
B:斜弯曲
C:扭转和平面弯曲
D:扭转和斜弯曲
变形体虚位移原理的虚功方程中包含了力系与位移(及变形)两套物理量,其中:()
A:力系必须是虚拟的,位移是实际的
B:位移必须是虚拟的,力系是实际的
C:力系与位移都必须是虚拟的
D:力系与位移两者都是实际的
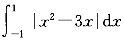
定积分
等于:()
A:1
B:2
C:3
D:4
明渠水流中建筑物模型试验,已知长度比尺λ=4,则模型流量应为原型流的:()
A:1/2
B:1/32
C:1/8
D:1/4
岩石颗粒密度测试时,非磁性岩石试件应由瓷研钵或玛瑙研钵粉碎。
刚体作平面运动,某瞬时平面图形的角速度为w,角加速度为α,则其上任意两点A、B的加速度在A、B连线上投影的关系是:()
A:比相等
B:相差AB·w
2
C:相差AB·α
D:相差(AB·w+AB·α)
熔化下列晶体,只需克服色散力的是()。
A:NH
3
B:HF
C:SiF
4
D:H
2
S
深层搅拌法和高压旋喷法的区别是()
A:适用的地基不同,前者适用于饱和软黏土,后者适用于粉细砂及冲填土
B:拌和手段不同,前者是机械拌和,后者是高压射流切割拌和
C:使用的主固化剂不同,前者主要是用水泥浆做主固化剂,后者是用水直接拌和
D:两者加固的机理不同,前者是应用复合地基的加固机理,后者是应用桩基原理进行加固
图5-9-5所示单元体及其应力圆。斜面,n上的应力情况,相对应于应力圆上的点为:()
A:A
B:B
C:C
D:D
斜推法进行混凝土与岩体接触面直剪试验时,采用常正应力法会使剪应力—剪切变形曲线失真。
设函数f1(x)=
,f2(x)=sin
,则x=0是()。
A:A
B:B
C:C
D:D
在双缝干涉实验中,若在两缝后(靠近屏一侧)各覆盖一块厚度均为d,但折射率分别为n
1
和n
2
(n
2
>n
1
)的透明薄片,从两缝发出的光在原来中央明纹处相遇时,光程差为:()
A:d(n
2
-n
1
)
B:2d(n
2
-n
1
)
C:d(n
2
-1)
D:d(n
1
-1)
图示一等边三角形板,边长为a,沿三边分别作用有力F
1
、F
2
和F
3
,且F
4
=F
5
=F
3
。则此三角形板处于什么状态?()
A:平衡
B:移动
C:转动
D:既移动又转动
土工合成材料直剪摩擦系数测定,要进行几个不同压力下的试验,一般是()。
A:2个
B:3个
C:6个
D:10个
如图所示正方形截面对z
1
轴的惯性矩与对z轴惯性矩的关系是:()
A:A
B:B
C:C
D:D
某电压信号随时间变化的波形图如图所示,该信号应归类于()。
A:周期信号
B:数字信号
C:离散信号
D:连续时间信号
一平面谐波的表达式为y=0.002cos(400πt-20πx)(SI),取k=0,±1,±2,…,则t=1s时各波谷所在的位置为:()
A:A
B:B
C:C
D:D
首页
<上一页
22
23
24
25
26
下一页>
尾页