自考题库
首页
所有科目
自考历年真题
考试分类
关于本站
游客
账号设置
退出登录
注册
登录
出自:质量、投资、进度控制
施工机械台班单价的内容包括()。
A:施工机械折旧费
B:施工机械操作人员工资
C:生产工具、用具使用费
D:施工机械安拆费及场外运输费
E:仪器、仪表使用费
在设备工程实施过程中,设备工程监理单位的主要任务是()。
A:编制用以进行进度控制的计划必须掌握充分的信息,尽量使信息数据化
B:收集有关设备工程工期的信息,协助业主确定工期目标
C:编制或审核设备工程各级、各类进度计划
D:控制设备工程各级、各类进度计划的执行
E:设备工程开始前对拟进行的全部工作的完成时间进行预测
有关设备安装工程合同总价,以下说法
不正确
的是()。
A:采用固定合同总价,承包商需要承担较大的风险
B:采用固定合同总价,要充分考虑设备安装工程实话期间各种因素的变化,正确认识和防范风险
C:固定总价合同适合于工程规模较小、技术不太复杂的中小型设备安装工程
D:固定总价合同适合于合同期较长,一般为一年以上的设备安装工程
设备调试工作主要是各种调整、试车、检查和测量,设备的试运转一般可分为空运转试验负荷试验、()试验等3种。
A:精度
B:加时
C:冲撞
D:负压
设备所需的原材料、外购件和()等都将构成设备的组成部分。
A:外配件
B:外协件
C:外装件
D:内配件
监理工程师在设备安装准备阶段的主要工作内容
不包括
()。
A:编制设备安装阶段进度控制监理工作细则
B:及时进行安装工程计量验收
C:检查被安装的设备到货情况
D:协调业主、建筑施工单位、设备供应单位、设备安装单位等参与单位的工作关系
设备工程决策时,会本能地遵循最优化原则来选择实施方案,这体现了设备工程投资管理的()原则。
A:主动控制
B:令人满意
C:技术与经济相结合
D:质量保障
由于异常的气候条件造成的停工是()。
A:可原谅延期但不给补偿费用
B:不可原谅延期
C:不可原谅延期,但可以给补偿费用
D:可原谅延期,可以给补偿费用
如下现金流量图中,若横轴的时间单位为年,则大小为40的现金流量的发生时点为()。
A:第二年年末
B:第三年年初
C:第三年年中
D:第三年年末
资料交付是指为满足系统工艺设计、土建设计、()、财务结算等方面的需要,对承担单位完整、准确、及时地提供相应的资料作出规定。
A:人事调动
B:工程完成计划
C:工程材料保管
D:设备安装调试
设计输入作为(),应包括设计项目全部的目标函数和约束条件,以便明确设计可能实现优化的空间。
A:设计要求说明书
B:设计任务
C:设计任务说明书
D:设计要求
无论任何一方提出的工程变理,都需要由()确认并签发工程变更指令。
A:业主
B:承包商
C:监理工程师
D:业主或承包商
根据FIDIC《生产设备和设计~施工合同条件》的规定,如果业主和承包商对争端裁决委员会(DAB)的决定不满,应在收到该决定后()天内,将不满通知对方。
A:84
B:28
C:14
D:56
纳税地点在县城、镇的企业,其综合税率为()。
A:3.41%
B:3.35%
C:3.22%
D:3.12%
在某工程网络计划中,工作N的最迟完成时间为第30天,其持续时间为7天,工作N有三项紧前工作,它们的最早完成时间分别为第13天、第15天和第17天,则工作N的总时差为()天。
A:6
B:10
C:13
D:17
以下关于限额设计特点的说法中
不正确
的是()。
A:有利于对投资的控制
B:能调动设计者的积极性和主动性
C:末考虑设计方案的全寿命费用
D:其总目标是以设计概算为基础确定的
E:与价值工程提高价值的思想相一致
设备监理工程师对设备制造单位提交的设备制造进度计划的审核内容主要包括()。
A:劳动力、材料、机具设备、资金供应计划是否能确保设备制造总进度计划的实现
B:与进度控制相关的设备制造其他文件的合理性、全面性和可行性
C:进度安排是否满足合同规定的交货日期以及进度控制的关键日期
D:设备制造工序的安排是否符合逻辑,是否符合设备工艺流程的要求
E:设备制造单位的劳动力、材料、机具设备及资金的供应计划能否保证进度计划的实现
下述属于设备工器具购置费的有()。
A:国产设备从交货地点至工地仓库的运费
B:进口设备银行财务费
C:进口设备检验鉴定费
D:进口设备仓库保管费
E:为进口设备而出国的人员差旅费
设备监理工程师(),可避免工程拖期。
A:适时下达开工令
B:指令承包商采用某种设备安装方案
C:提醒业主履行合同规定的职责
D:要求承包商采用某种运输工具
E:及时处理业主和承包商间的争端
在工程网络计划的执行过程中,监理工程师检查实际进度时,只发现工作M的总时差由原计划的4d变为-3d,说明工作M的实际进度()。
A:拖后7d,影响工期3d
B:拖后7d,影响工期4d
C:拖后4d,影响工期3d
D:拖后3d,影响工期3d
设备( )过程是设备质量形成最重要的过程之一。
A:采购
B:制造
C:运输
D:安装和调试
直方图呈孤岛形,究其原因,可能是()。
A:分组不当
B:对上限控制太严
C:分析时夹杂了其他分布的少量数据
D:数据收集不正常
某工程施工时,因业主原因造成某工作拖延1周,该工作具有5天总时差,3天自由时差,则承包商可获得工期索赔为()天。
A:7
B:2
C:5
D:0
投资估算是在项目的()基本确定的基础上,对项目投入总资金和建设期内分年资金需要量的估计和测算。
A:建设规模
B:建设方案
C:工艺技术
D:设备方案
E:实施进度
在搭接网络计划中,()的工作为关键工作。
A:工作的总时差最大
B:工作的总时差最小
C:具有的机动时间最小
D:具有的机动时间最大
E:工作的自由时差最大
价值工程的实施阶段包括的内容有()。
A:提案编写
B:审批
C:实施与检查
D:成果鉴定
E:功能评价
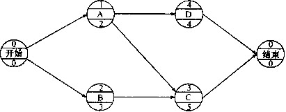
某工程单代号网络计划图如下图所示,下列选项正确的是()。
A:工作A的EF为2天
B:工作D的FF为2天
C:工作C的EF为2天
D:工作B的FF为1天
E:计算工期为8天
对设备工程进度目标进行分解,可采取的方法有按()分解。
A:施工难易程度
B:项目实施单位
C:项目组成
D:设备工程实施过程
E:设备工程分目标
设计评审的主要内容有()
A:评审依据和评审目的
B:评审内容
C:依据评审的具体内容确定评审的方式
D:参加评审人员
由于业主和监理工程师原因造成暂时停工,导致承包商费用支出增加,承包商可以提出()。
A:工期、费用和利润索赔
B:工期和费用索赔,不能提出利润索赔
C:工期索赔,不能提出费用和利润索赔
D:费用索赔,不能提出工期和利润索赔
首页
<上一页
21
22
23
24
25
下一页>
尾页