自考题库
首页
所有科目
自考历年真题
考试分类
关于本站
游客
账号设置
退出登录
注册
登录
出自:质量、投资、进度控制
下列关于排列图的应用程序,描述正确的有()。
A:选择要分析的对象,确定用于分析的度量单位
B:选择用于数据分析的时间范围
C:按度量单位值从大到小的顺序把项目从左到右列于横坐标上,度量单位小的项目可归为“其他栏”,列于最右端
D:在每一项目上画一长方形,用其高度表示该项目的度量
E:从左向右递减每一项目的度量数值,并画出累计频数曲线
业主负责采购材料和设备的进度管理中,设备监理工程师的主要工作
不包括
()。
A:协助业主选择主要材料和关键设备的供应商(或制造商)
B:审核承包商编制的采购进度计划
C:按合同规定时间审核总承包商提交的设备采购计划
D:审批工程延期
()
不属于
与设备工程形成过程有关的其他费用。
A:业主管理费
B:设备工程设计费
C:联合试运转费
D:办公和生活家具购置费
E:供电贴费
项目融资的资金渠道主要有()。
A:项目法入自有资金
B:政府财政性资金
C:国内外证券市场资金
D:金融机构信贷资金
E:盈余公积金
按备选项目的关系形成的项目组有()。
A:独立型
B:互补型
C:互斥型
D:层混型
E:综合型
()是批准设计生效,进入生产制造阶段的先决条件,目的是确保设备的生产制造能够满足顾客(业主)所要求的功能和使用价值。
A:设计策划
B:设备设计
C:设计计划
D:设计确认
通过比较实际进度S型曲线和计划进度曲线,可以获得()信息。
A:工程项目实际进展状况
B:工程项目实际进度超前或拖后的时间
C:工程项目实际超额或拖欠的任务量
D:后期工程进度预测
E:各项工作的最早开始时间和最迟开始时间
分系统技术设计的主要内容有()。
A:编写产品系统目录
B:主要部件结构
C:分系统原理设计
D:必要的技术质量性能技术设计
E:编制设计合格证明
用强制确定法确定零件功能评价系数时,重要功能得分为()分。
A:0
B:1
C:2
D:3
设备监理工程师在设备制造过程中的进度管理中的控制协调工作主要有()。
A:检查到货情况
B:协助业主组织验收工作
C:审核设备制造进度资料
D:检查关键控制点
E:处理质量问题和进度偏差
在某工程单代号搭接网络计划中,关键线路是指()的线路。
A:相邻两项工作之间的时距之和最大
B:相邻两项工作之间时间间隔全部为零
C:工作的持续时间总和最大
D:相邻两项工作之间的时距全部为零
()导致工程拖期时,可以判定承包商有权延长工期。
A:承包商设计的图纸未按时提交
B:业主未在合同规定时间内做出支付
C:对合格工程的剥离检查
D:异常恶劣的气候条件
E:设备监理工程师做出工程变更指令而导致工程量增加
设备制造过程进度管理监理工作细则是以监理工作计划中有关进度管理的总部署为基础编制的,总的内容包括()。
A:设备制造总进度计划
B:经过审核的设备总图
C:设备制造过程的总目标和分目标
D:设备监理人员的具体分工
E:进度管理的方法
工程网络计划的计算工期应等于其所有结束工作的()。
A:最早完成时间的最小值
B:最早完成时间的最大值
C:最迟完成时间的最小值
D:最迟完成时间的最大值
在某工程的网络计划中,如果工作K的总时差和自由时差分别为8d和4d,监理工程师检查实际进度时发现,该工作的持续时间延长了2d,则说明工作K的实际进度( )。
A:既不影响总工期,也不影响其后续工作
B:不影响总工期,但其后续工作的最早开始时间将延迟2d
C:影响总工期,总工期拖延2d
D:既影响总工期,又影响其后续工作,均延迟2d
根据ISO9000:2000中的定义,质量是一组固有特性满足要求的()。
A:程度
B:品质
C:过程
D:标准
()是项目已实施的时间内累计发生的偏差,是一个动态概念。
A:绝对偏差
B:相对偏差
C:局部偏差
D:累计偏差
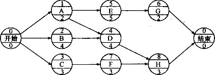
某工程单代号网络图如下图所示,说法正确的是()。
A:工作D的ES为2
B:工作G的FF为2
C:工作F的FF为1
D:工作H的FF为1
设备的制造过程是()的具体形成过程,衡量设备制造质量的好坏是用加工制造的零件、组装的部件、外购的配套件和元器件、总装调试的整机(生产线)是否全面地达到设备工程设计的图纸的要求来判断。
A:设备质量
B:设备实体质量
C:设备实体
D:设备固体
在设备使用初期过程的管理过程中,设备监理工程师应主要关注()。
A:设备结构、传动装置、操纵控制系统的稳定性和预警性的评价
B:对生产的适用性和生产效率情况的验证
C:对初期发生故障部位、次数、原因及故障期进行记录分析
D:对典型故障和零部件的失效进行分析,提出对策
E:对发现设备原设计或制造缺陷,采取改善维修和措施
在上题所示双代号时标网络计划中如果A、H、K三项工作共用一台施工机械而必须顺序施工,则在不影响总工期的前提下,该施工机械在现场的最小闲置时间是()周。
A:2
B:3
C:4
D:5
在工程网络计划中,关键工作是指()的工作。
A:双代号时标网络计划中箭线上无波形线
B:与其紧后工作之间的时间间隔为零
C:最早开始时间与最迟开始时间相差最小
D:双代号网络计划中两端节点均为关键节点
功能按照(),可分为基本功能和辅助功能。
A:重要程度
B:实用性
C:功能性质
D:用户需求
设备监理工程师介入监理工作不必经历的阶段是()。
A:项目决策阶段
B:设计与采购阶段
C:制造阶段
D:安装与调试阶段
安装工程直接费包括()。
A:直接工程费
B:规费
C:企业管理费
D:措施费
E:税金
在工程网络计划的执行过程中,监理工程师检查实际进度时,只发现工作P的总时差由原计划的6d变为-2d,说明工作P的实际进度()。
A:拖后8d,影响工期2d
B:拖后6d,影响工期8d
C:拖后8d,影响工期6d
D:拖后2d,影响工期1d
投资估算是在项目决策阶段,根据项目的()等,对项目所需奖金进行的估计与测算,是项目可行性分析的重要内容。
A:建设规模
B:场地选择
C:工艺技术
D:设备方案
E:工程方案一级实施进度
对于重要的关键性大型设备,应由( )组织鉴定小组进行检验。
A:总监理工程师
B:雇主
C:监理工程师
D:设备工程师
在工程双代号网络计划中,某项工作的最早完成时间是指其()。
A:完成节点的最迟时间与工作自由时差之差
B:开始节点的最早时间与工作自由时差之和
C:完成节点的最迟时间与工作总时差之差
D:开始节点的最早时间与工作总时差之和
投资估算的编制方法包括()。
A:资金周转率法
B:资源负荷图
C:功能单元法
D:设备费用百分比估算法
E:指标估算法
首页
<上一页
20
21
22
23
24
下一页>
尾页