自考题库
首页
所有科目
自考历年真题
考试分类
关于本站
游客
账号设置
退出登录
注册
登录
出自:设备工程监理基础及相关知识
()是设备工程质量的特点。
A:质量问题易诊断
B:质量问题易处理
C:质量波动小
D:协作的广泛性
按风险影响范围分类可以将风险分为()。
A:纯风险和投机风险
B:政治风险、经济风险、技术风险和自然风险
C:可管理的风险和不可管理的风险
D:基本风险和特殊风险
在设备工程监理机构中,总监理工程师应承担的责任包括()。
A:协调规划的责任
B:对监理单位应承担的责任
C:计划与组织的责任
D:对监理服务项目的实施和完成应承担的责任
E:对监理机构成员应承担的责任
下列关于设备监理与其他工程咨询活动的说法,
不正确
的是()。
A:咨询成果一般采用报告形式交付给客户
B:咨询成果与建设项目的最终结果一定没有直接关系
C:设备监理这种工程咨询工作必须通过咨询者对客户之外的、向客户提供产品或服务的承包商进行监督才能进行,并不是设备监理单位单方面可以进行的
D:设备监理的成果可以是设备监理机构提交的工作报告、履行监理合同的总结
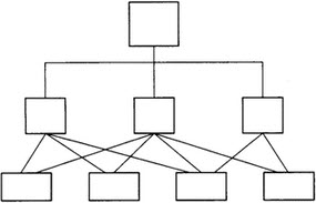
下图表示的是()组织结构。
A:直线型
B:直线职能型
C:功能型
D:职能型
根据现行规定,下列建设项目应当实施设备工程监理的有()。
A:使用国有资金投资或国家融资的设备工程项目
B:国家重点建设项目
C:涉及公共安全、人身健康、生命财产安全等设备工程项目
D:利用外国政府或者国际组织贷款、援助资金的项目
E:国家政策性银行或者国有商业银行规定使用贷款需要实施监理的项目
监理机构的组织结构大多采用()。
A:直线型、功能型、矩阵型
B:功能型、矩阵型、直线职能型
C:直线型、功能型、直线职能型
D:直线型、矩阵型、直线职能型
甲级和乙级设备监理单位应向质检总局委托的工作机构提交的文件
不包括
()。
A:《企业法人营业执照》的年检复印件
B:法定代表人与技术负责人的姓名、年龄、专业技术职务资格证明文件及工作简历
C:《监理年度评审手册》
D:机构人力资源状况,需特别注明持有效《设备监理工程师执业资格证书》的人员情况
项目集成管理涉及的子过程包括()。
A:项目决策
B:制定项目计划
C:实施项目计划
D:监控项目绩效
E:集成变更控制
项目管理的基本内容()。
A:项目定义
B:项目计划
C:项目执行
D:项目控制
E:项目结束
设备监理资料的管理应由()负责。
A:总监理工程师
B:总监理工程师代表
C:专业监理工程师
D:一般监理人员
设备监理单位的资格等级分为甲、乙两级,其中甲级设备监理单位除应符合设备监理单位定义中的基本要求外,还应具备()个条件。
A:4
B:5
C:6
D:7
下列各项中属于静态信息的是()。
A:工作方法
B:质量
C:消耗量定额
D:材料消耗
()原则是指在保证完成组织目标的前提下,在管理组织的结构、各层次的职能分工、权力和专业的结合、操作层的专门化以及各部门的管理跨度等方面实现最优和组织运行费用最低。
A:组织优化
B:职能分工
C:责任不可下推
D:统一指挥
在下列风险中属于纯风险的有()。
A:地震
B:洪水
C:经济政策变化
D:汇率变动
E:战争
备工程监理交底是在()、监理服务实施之前的一个重要的环节。
A:监理服务水平测量后
B:监理服务准备工作基本完成
C:监理服务制度制定后
D:监理大纲编制完成
下图表示的是()。
A:主动控制
B:反馈控制
C:闭环控制
D:被动控制
招标代理机构的资格由()认定。
A:国务院建设行政主管部门
B:省建设行政主管部门
C:自治区的建设行政主管部门
D:招标单位
E:监理协会
在设备工程项目中,合同交底一般有()。
A:设计交底
B:施工交底
C:监理交底
D:验收交底
E:服务交底
没备监理工程师在履行合同界面管理的职责时应做到()。
A:明确定义合同界面
B:明确合同界面的位置
C:明确合同界面管理的责任人
D:及时进行重点界面的协调和全面协调
E:及时更新合同界面的划分
根据《注册设备监理师执业资格制度暂行规定》,注册设备监理师注册有效期为()。
A:2年
B:3年
C:4年
D:5年
OHSAS18000《职业健康安全管理体系》的一级要素包括()。
A:职业健康安全方针
B:规划
C:实施与运行
D:监控系统
E:管理评审
技术方案比选论证的比选内容包括()。
A:技术的先进程度
B:技术的可靠程度
C:对产品质量性能的保证程度
D:对原材料的适应性
E:对工艺流程的质量等
()企业的组织结构,总体上说它仍属于直线型组织结构,只是企业的工作部门按专业职能设置。这种组织结构的长处是机构简单、组织稳定、专业化程度高;它的不足之处是组织缺乏弹性,对主管领导者在专业技能方面要求较高。
A:职能制
B:直线制
C:矩阵制
D:线性职能制
对于原有基础很小,经扩大建设规模后,新增加的固定资产价值超过原有固定资产价值三倍以上的,应作为()。
A:迁建项目
B:改建项目
C:扩建项目
D:新建项目
在设备工程监理服务质量差距分析模式中,()的差距是最主要的,是由整个过程的其他差距综合作用引起的。
A:服务的设计、策划和对顾客需求和期望的认知
B:期望的服务和感知的服务
C:服务提供和与顾客沟通
D:服务提供和服务的设计、策划
一般工程项目信息收集主要分()个阶段进行。
A:2
B:3
C:4
D:5
()是指组织内外部的个人之间、组织与个人之间、组织之间以及组织或个人与其所在的自然和经济环境之间,在其赖以生存的资源分配处于不公平状况下产生的冲突。
A:利益冲突
B:文化冲突
C:角色冲突
D:心理冲突
下列属于设备安装前准备期需要收集的信息是()。
A:承包商人员组成和人员基本情况
B:进场设备的规模型号
C:开工前的监理交底记录
D:安装过程中发生的工程数据
E:进场设备的保修记录
设备监理实施细则的主要内容中
不包括
()。
A:各个专业工程的特点和设备专业监理流程
B:设备监理的检查控制点及目标值
C:国家法规和政策
D:设备监理工作的技术资料与合同档案制度
首页
<上一页
20
21
22
23
24
下一页>
尾页