自考题库
首页
所有科目
自考历年真题
考试分类
关于本站
游客
账号设置
退出登录
注册
登录
出自:电气工程公共基础
作泄漏试验时,被试品一端接地,微安表应接在( )
A:低压侧
B:高压侧
C:被试品与地之间
局部放电可以分为内部放电,电晕放电,放电树和表面放电。()
变压器的空载损耗主要有磁滞损耗和电阻损耗组成.( )
电流互感器的不完全星形接线,在运行中( )故障。
A:不能反映所有的接地
B:能反映各种类型的接地
C:仅反映单相接地
D:不能反映三相短路
当水力模型按重力准则设计时,其流量比尺λ0=()。
A:
B:
C:
D:
IPSEC提供网络层之上的保护指定了在两台设备之间的一条或多条路径上IP保护的服务,其服务包括()。
A:访问控制
双极性555和CMOS型555的制作工艺和流程不同,虽然它们的性能指标是有差异的。但是它们具有()的共同点。
A:功能相同,外形和管脚排列一致。
B:都使用单电源供电。
C:输出为2/3VCC电平。
D:电源电压变化对振荡频率和定时精度影响下
除《中华人民共和国著作权法》或者《计算机软件保护条例》另有规定外,在以下几种侵权的行为的,应当根据情况,承担停止侵害、消除影响、赔礼道歉、赔偿损失等民事责任()。
A:未经软件著作权人许可,发表或者登记其软件的
B:将他人软件作为自己的软件发表或者登记的
C:在他人软件上署名或者更改他人软件上的署名的
D:未经软件著作权人许可,修改、翻译其软件的
计算机的存储器的每个单元容量通常都是()。
A:以字节即8位二进制数为单位来表示的
B:以字即16位二进制数为单位来表示的
C:以二进制为单位来表示的
D:以双字节即32位二进制数为单位来表示的
油浸式电力变压器温升试验应在最大电流分接进行。
下列过程一定发生化学变化的是()
A:萝卜风干
B:苹果冷藏
C:葡萄酿酒
D:甘蔗榨汁
数字系统中常用的LSI(大规模集成电路)可分为()三种类型。
A:非用户定制电路
B:全用户定制电路
C:半用户定制电路
D:PLD器件
变压器放电量的标准,一般均采用间接校准法。()
在一个孤立静止的点电荷周围()。
A:存在磁场,它围绕电荷呈球面状分布
B:存在磁场,它分布在从电荷所在处到无穷远处的整个空间中
C:存在电场,它围绕电荷呈球面状分布
D:存在电场,它分布在从电荷所在处到无穷远处的整个空间中
若函数在
处取得极值,则a的值是()。
A:2
B:
C:
D:
以下
不属于
SOA本质目标解决的问题的是()。
A:业务灵活性;
B:系统可重用性;
C:系统可组合性;
D:系统异构问题;
离心式水泵以单吸或双吸分类时,是()进行区分。
A:按泵壳结合面形式;
B:按工作叶轮数目;
C:按叶轮进水方式;
D:按叶轮出水方式。
在物联网以互联网作为基础网络平台的情况下,物联网相当于互联网上面向特定任务来组织的()。
A:应用专用网络
B:数据专用网络
C:虚拟专用网
D:任务专用网络
按照《合同法》的规定,下列情形中,要约不失效的是()。
A:拒绝要约的通知到达要约人
B:要约人依法撤销要约
C:承诺期限届满,受要约人未作出承诺
D:受要约人对要约的内容作出非实质性变更
TTL电路在正逻辑系统中,以下各种输入中()相当于输入逻辑“1”。
A:悬空
B:通过电阻2.7kΩ接电源
C:通过电阻2.7kΩ接地
D:通过电阻510Ω接地
将质量为m的物体在空气中竖直上抛,初速度为v0,若空气阻力与物体的速度v(t)(t是时间)成正比,比例系数为k,g为重力加速度.v(t)所满足的微分方程及初始条件是().
A:
B:
C:
D:
泊松亮斑
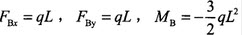
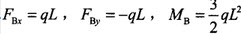
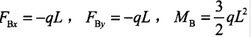
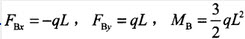
已知图4-22所示结构中的g,L,则固定端B处约束力的值为(设力偶逆时针转向为正)()。
A:
B:
C:
D:
设
,则I的值为().
A:-1
B:-1/2
C:1/2
D:+∞
局部放电试验使用脉冲电流法时直接法分为串联法和并联法。()
非相干系统的频域综合存在的两个明显缺点?
折射率
智慧地球的关键特征包括()。
A:更透彻的感知
B:更全面的互联互通
C:更深入的智能化
D:更深入的理解
计算机全息分类?
钴的价电子构型是3d74s2,钴原子外层轨道中未成对电子数是()。
A:1
B:2
C:3
D:4
首页
<上一页
20
21
22
23
24
下一页>
尾页