自考题库
首页
所有科目
自考历年真题
考试分类
关于本站
游客
账号设置
退出登录
注册
登录
出自:中药学高级职称
延胡索现代应用于()
A:各种疼痛
B:脑血栓
C:肾炎
D:低血压状态
E:肺心病
干姜强心作用的机制是()
A:抑制Na
+
,K
+
-ATP酶
B:兴奋β受体
C:直接兴奋心肌细胞
D:促进交感神经末梢释放儿茶酚胺
E:抑制心肌和血管壁的重构
利尿作用与抗醛固酮活性有关的药物是()
A:茯苓
B:茵陈
C:泽泻
D:猪苓
E:麻黄
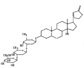
强烈酸水解,产生什么样的产物()
A:
B:
C:
D:2
E:
作为热压灭菌法灭菌可靠性的控制指标是()
A:F值
B:F值
C:D值
D:Z值
E:Nt值
下列哪些方法能提高药物制剂的稳定性()
A:提高贮存温度
B:制成固体制剂
C:制成难溶性盐
D:制成微囊或包合物
E:采用包衣工艺
厚朴药材粉末可见晶体是()
A:簇晶
B:方晶
C:砂晶
D:针晶
E:柱晶
有异常构造的中药有()
A:大黄
B:何首乌
C:商陆
D:沉香
E:黄芩
丹参和延胡索共有的药理作用是()
A:抗心肌缺血和抗血栓
B:增强离体子宫的收缩
C:促进组织修复
D:抗肝纤维化
E:抗溃疡
根据《中华人民共和国消费者权益保护法》,经营者在提供商品时()
A:应当向消费者提供有关商品或者服务的真实信息
B:不得作引人误解的虚假宣传
C:对消费者就其提供的商品或者服务的质量提出的询问,应当作出真实\明确的答复
D:对消费者就其提供的商品和服务成本问题的询问,应当作出真实\明确的答复
E:对消费者就其提供的商品或者服务使用方法的询问,应当作出真实\明确的答复
地黄饮子中少许薄荷的作用是()
A:上行开郁
B:疏散风热
C:疏肝解郁
D:清利头目
E:利咽消肿
具有镇咳、祛痰、平喘作用的药物是()
A:山楂
B:神曲
C:莱菔子
D:麦芽
E:谷芽
腰为()
A:中精之府
B:精明之府
C:肾之府
D:元神之府
E:血之府
心烦失眠,身热,面红,口渴,便秘,尿黄,舌尖红绛,苔黄,脉数有力,证属()
A:心阳暴脱证
B:心火亢盛证
C:心脉痹阻证
D:痰蒙心神证
E:痰热扰神证
鉴别二氢黄酮的专属反应是()
A:NaBH
4
B:HCl
-
Mg
C:Na-Hg
D:NH
40
H/SrCl
2
E:E.Mg(OA
2
可作片剂润湿剂的是()
A:糊精
B:PVP
C:羧甲基淀粉
D:硬脂酸镁
E:乙醇
下列有关中药四性对环核苷酸水平的影响,正确的是()
A:寒凉药能提高热证患者细胞内cAMP含量
B:滋阴药能提高阴虚证患者细胞内cAMP含量
C:温热药能提高寒证患者细胞内cGMP含量
D:助阳药能提高阳虚证患者细胞内cAMP含量
E:温热药能提高寒证患者细胞内cGMP/cAMP比值
含较多挥发性成分的饮片宜()
A:包煎
B:另煎
C:先煎
D:烊化
E:后下
依照《中华人民共和国药品管理法》规定,国家药品监督管理部门负责()
A:新药研制审批
B:新药生产审批
C:新发现和从国外引种的药品的审批
D:生产已有国家标准药品的审批
E:药品进口的审批
收涩药的药理作用叙述,错误的是()
A:收敛
B:抗菌
C:止血
D:止泻
E:促进腺体分泌
肝郁血虚,脾失健运。见两胁作痛,神疲食少,脉虚弦者,治宜选用()
A:一贯煎
B:越鞠丸
C:逍遥散
D:四逆散
E:四君子汤
蕲蛇背部两侧各有黑褐色与浅棕色组成的菱形大斑纹,习称()
A:乌鸦头
B:乌金衣
C:风眼圈
D:玉带束腰
E:方胜纹
朱砂的炮制方法是()
A:煨制法
B:水飞法
C:提净法
D:于馏法
E:明煅法
特殊臭气的药材有:()
A:雄黄
B:硫磺
C:阿魏
D:大黄
E:当归
下列关于泻下药的药理作用,错误的是()
A:泻下
B:利尿
C:抗炎
D:抗肿瘤
E:镇痛
石灰擦剂由石灰水与花生油组成,其制备方法是()
A:研磨法
B:干胶法
C:湿胶法
D:两相交替加入法
E:新生皂法
"乙癸同源"相关的两脏是()
A:心与肺
B:肝与脾
C:心与肾
D:心与脾
E:肝与肾
姜炙法的主要炮制目的是()
A:升提药力,增强药物活血通络作用
B:引药入肝,增强药物疏肝化瘀止痛作用
C:制其寒性,增强和胃止呕作用
D:引药下行,增强滋阴降火作用
E:协同疗效,增强药物润肺止咳作用
某乳剂采用司盘80、卖泽49、阿拉伯胶各10g作为混合乳化剂,若司盘80、卖泽49和阿拉伯胶的HLB依次为4.3、15和8,则该混合乳剂的HLB值为()
A:3.1
B:5.5
C:4.3
D:8
E:9.1
与水液代谢和呼吸运动关系密切的是()
A:心与肺
B:心与肝
C:脾与肺
D:肝与肺
E:肺与肾
首页
<上一页
217
218
219
220
221
下一页>
尾页