自考题库
首页
所有科目
自考历年真题
考试分类
关于本站
游客
账号设置
退出登录
注册
登录
出自:经济学
房地产市场的特点以及政府的作用?
()确立了所谓凯恩斯主义的基本原理。
A:《公共财政学》
B:《货币数量论》
C:《就业利息论》
D:《就业利息和货币通论》
由于某地发生地震导致大量民宅损毁,财政部和民政部紧急向该地拨款用于重建居民住宅。这种来自中央政府的转移支付属于()
A:专项转移支付
B:分类转移支付
C:一般性转移支付
D:横向转移支付
新凯恩斯主义的核心理论是什么?
以下表示感应度系数的公式是()。
A:该产业横行逆阵系数的均值/全部产业横行系数的均值的均值
B:该产业纵列逆阵系数的均值/全部产业纵列系数的均值的均值
不属于
理性预期学派的观点的是()。
A:实际利率是由非货币因素决定的
B:真正影响货币政策效果的不是货币政策本身,而是公众的预期
C:货币不会对实际运行产生影响
D:在货币是否为中性问题上,货币主义是正确的
农场主投入生产要素土地和劳动进行生产,他种植了40公顷地的谷物,收益递减的规律告诉我们()
A:土地不变,增加劳动力,最终土地的边际产量将会下降
B:土地不变,增加劳动,最终劳动力的边际产量将会下降
C:短期内劳动的平均产量保持不变
D:短期内,没有可变的投入
土地发展权
通货膨胀可能进一步加剧社会贫富差距拉大的问题,并影响社会秩序稳定。
环境经济循环
海洋经济资源配置原则?
SCP分析框架所依据的价格理论的两极是()
A:完全竞争
B:不完全竞争
C:寡头垄断
D:完全垄断
E:垄断
管理经济学又称为()
A:企业经济学
B:公司经济学
C:经营经济学
D:生产经济学
E:制造经济学
我国农业新的四个现代化是()。
A:“科学化、集约化、水利化、市场化”
B:“科学化、集约化、社会化、商品化”
C:“机械化、集约化、社会化、商品化”
D:“科学化、电气化、社会化、商品化”
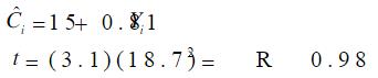
假设某人利用容量为19的样本估计了消费函数
,并获得下列结果:
第1题,共2个问题
(简答题)计算参数估计量的标准差。
第2题,共2个问题
(简答题)构造β的95%的置信区间,据此检验β的统计显著性。
针锋相对(Tit for tat)
一次总付税会带来超额负担。
简述环境资源配置效率目标的选择?
工业产品的寿命周期成本是指从产品的制造到投入使用,直至报废的整个产品寿命周期内所花费的全部费用。
区域经济产业政策可分为()。
A:产业结构政策
B:产业组织政策
C:投资政策
D:产业布局政策
确定合理消费水平的原则是什么?
弗莱堡学派的核心理论是什么?
用Is—LM模型说明货币量的变动对利率和国内生产总值的影响。
一个产业的最终()越高,这个产业就带有提供最终产品的性质
影响利润率高低的因素是()
A:剩余价值率的高低
B:资本周转速度的快慢
C:资本有机构成的高低
D:预付资本数量的大小
E:不变资本节省的程度
为什么房地产投资仍有风险?它有哪些风险?如何控制这些风险?
罗斯托的主导产业扩散理论将经济部门划分为().
A:主导部门
B:补充的经济增长部门
C:派生的经济增长部门
D:以上都是
简述农业土地经营规模的影响因素。
()所体现的需求和价格之间的关系是需求定律的例外。
A:面包和食盐
B:吉芬商品
C:低档品
D:炫耀性商品
E:流行性商品
空间与地域
首页
<上一页
212
213
214
215
216
下一页>
尾页