自考题库
首页
所有科目
自考历年真题
考试分类
关于本站
游客
账号设置
退出登录
注册
登录
出自:质量、投资、进度控制
从根本上讲,()就是要使工程实际总投资不超过业主所确定的投资目标,合理使用各种资源,以期达到最佳的投资效益。
A:设备工程投资管理
B:设备工程成本管理
C:设备工程全寿命费用管理
D:设备工程造价管理
下列方法中,
不属于
费用偏差分析方法的是()。
A:横道图法
B:模拟法
C:表格法
D:曲线法
对于寿命期相等的互斥方案,在已知i
c
情况下,可以使用的项目比选方法是()。
A:计算NPV取大者
B:计算IRR取大者
C:计算△IRR比选
D:计算P
t
取大者
凡是在( )范围内的质量差异都是偶然性因素作用的结果,属于正常范围。
A:(%26mu;-%26sigma;)~(%26mu;+%26sigma;)
B:(%26mu;-2%26sigma;)~(%26mu;+2%26sigma;)
C:(%26mu;-3%26sigma;)~(%26mu;+3%26sigma;)
D:都不是
下列
不属于
装运港交货价的是()。
A:离岸价
B:到岸价
C:“成本加运费”交货价
D:制造厂交货价
常用的偏差分析方法包括()。
A:资源负荷图法
B:横道图法
C:表格法
D:曲线法
E:概率统计法
典型的优秀设备供应商应具有()特点。
A:交货质量好
B:交货及时
C:交货的数量正确
D:价格相对较高
E:产地好
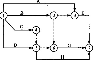
下图所示的双代号网络图中的()。
A:虚工作②-③是多余的
B:虚工作④-⑤是多余的
C:虚工作⑤-⑥是多余的
D:所有虚工作都是必要的
在投资估算的编制方法中,比较简便、计算速度快,但精确度较低、运用于规划阶段或项目建议书阶段的投资估算是()。
A:生产能力指数法
B:资金周转率法
C:功能单元法
D:指标估算法
在与设备工程形成过程有关的其他费用中,属设备工程设计费的有()。
A:勘察费
B:设计费
C:可行性研究费
D:项目建议书编制费
E:研究试验费
在网络计划执行过程中,若某项工作比原计划拖后,当拖后的时间大于其拥有的自由时差时,则肯定影响()。
A:总工期
B:全部后续工作
C:所有紧后工作
D:某些紧后工作
单代号网络计划中工作与其紧后工作之间的时间间隔应等于()。
A:紧后工作的最早开始时间与该工作的最早结束时间之差
B:其紧后工作的最早开始时间与该工作的最早完成时间之差
C:其紧后工作的最迟开始时间与该工作的最迟完成时间之差
D:其紧后工作的最早完成时间与该工作的最早完成时间之差
不同的设计理念、设计技术路线、设计方案会对工程进度产生不同的影响,在设计工作的前期,特别是在()时,应对设计技术与工程进度的关系作分析比较。
A:设计图纸
B:设计评审
C:设计方案部署
D:设计方案评审和运用
若某工作的尚有总时差为()时,则不会影响工期。
A:正值
B:负值
C:零
D:零或正值
某项目通过划拨方式取得无限期的土地使用权,则应()。
A:支付土地使用权出让金
B:支付土地征用及迁移补偿费
C:支付土地使用权转让费
D:无偿取得土地使用权
当利用S型曲线进行实际进度与计划进度比较时,如果实际进展点落在计划S型曲线的左侧,则通过比较可以获得的信息是()。
A:设备工程实际进度拖后的时间
B:设备工程中各工作超额完成的任务量
C:设备工程实际进度超前的时间
D:设备工程中各工作拖欠的任务量
综合评估法的具体方法
不包括
()。
A:评分法
B:综合评标价法
C:经评审的最低投标价法
D:全寿命费用评标价法
E:审查编制依据的保密性
设备安装准备阶段的主要监理工作内容
不包括
()。
A:审核设备安装单位编制的设备安装进度计划,检查其合理性,以确认对设备安装各项工作所做的进度安排
B:审核设备安装进度计划与建筑施工进度计划、设备供应进度计划是否协调一致
C:检查业主向设备安装单位提供的设备安装现场条件是否符合合同的要求
D:定期向业主提交进度报告,在业主授权下审批设备安装进度计划的变更和调整方案
设备工程进度管理的总目标是()。
A:资源优化
B:费用减少
C:设备工程的工期
D:进度调整
在某工程双代号网络计划中,工作N的最早开始时间和最迟开始时间分别为第20天和第25天,其持续时间为9天。该工作有两项紧后工作,它们的最早开始时间分别为第32天和第34天,则工作N的总时差和自由时差分别为()天。
A:3和0
B:3和2
C:5和0
D:5和3
影响制造过程质量的因素有()。
A:人
B:策划
C:机械设备
D:环境
E:方法
设计验证的目的是()。
A:确保输出满足输入要求
B:确认评审结果的有效性
C:确保满足法律法规要求
D:A+B+C
在设备安装费用中,某工程为获得土地使用权而支付的费用,按规定应列入()。
A:建筑安装工程费用
B:设备工器具费用
C:设备工程其他费用
D:预备费
用以作为衡量资金时间价值相对尺度的指标是()。
A:收益率
B:利率
C:利税率
D:利润率
根据现行设备安装工程费用构成的有关规定,设备安装工程造价中的税金
不包括
()。
A:营业税
B:所得税
C:城市维护建设税
D:教育费附加
下列指标中()指标是动态指标。
A:净现值
B:净年值
C:内部收益率
D:费用收益率
E:投资利润率
在质量控制图中,生产过程处于正常的有()。
A:连续35点中有2点超出界限
B:连续25点处于控制界限内
C:连续7点在中心线的一侧
D:连续9点一直有上升趋势
与未来企业生产经营有关的其他费用包括()。
A:联合试运转费
B:生产准备费
C:办公和生活用家具的购置费
D:业务招待费
E:城市建设配套费
在项目的实施过程中,需要对所要求设备的设计进行变更或修改的原因可能是()。
A:设计评审、设计验证或设计确认要求变更
B:业主或分承包商对产品的性能或可靠性没有新的要求
C:在设计初期由于失误或误解所造成的问题,在随后的设计过程中得到改正
D:希望设计结果更加有利于生产、检验、试验、服务或维护的进行
E:有关健康、安全、材料使用方面的法规要求发生了变化
设备监理工程师在进度计划执行阶段的工作内容有()。
A:计划审核
B:进度数据采集
C:进度偏差分析
D:目标分解
E:进度调整
首页
<上一页
19
20
21
22
23
下一页>
尾页