自考题库
首页
所有科目
自考历年真题
考试分类
关于本站
游客
账号设置
退出登录
注册
登录
出自:基础考试
地基预压排水可以()
A:提高地基强度
B:提高地基压缩模量
C:增加地基变形量
图a)为对称结构,其正确的半结构计算简图为图b)四个图中的哪一个?()
A:A
B:B
C:C
D:D
某现金流量如图所示,如果利率为i,则下面的4个表达式中,正确的是:()
A:P(P/F,i,ι)=A(PlA,i,-n-m)(P/F,i,m)
B:P(F/P,i,m-ι)=A(P/A,i,n-m)
C:P=A(P/A,i,n-m)(P/F,i,m-ι)
D:P(F/P,i,n-ι)=A(F/A,i,n-m+1)
视距测量时,经纬仪置于高程为162.382m的A点,仪器高为1.40m,上、中、下三丝读数分别为1.019m、1.400m和1.781m,求得竖直角a=3°12’10",则AB的水平距离和B点的高程分别为:()
A:75.962m,158.131m
B:75.962m,166.633m
C:76.081m,158.125m
D:76.081m,166.633m
现场的十字板剪切试验主要用于()
A:中砂
B:粗砂
C:软性土
D:软岩
在氧化还原反应中,氧化剂是
值____的电对中的____物质;还原剂是
值____的电对中的____物质。()
A:大,氧化型;小,还原型
B:小,氧化型;大,还原型
C:大,氧化型;大,还原型
D:小,氧化型;小,还原型
某土样的重度γ=17.1kN/m
3
,含水率ω=30%,土粒相对密度d
s
=2.7,则土的干密度ρ
d
为:()
A:13.15kN/m
3
B:1.31g/cm
3
C:16.2kN/m
3
D:1.62g/cm
3
某岩体为完整的较软岩,岩体基本质量指标(BQ)约400,作为地下工程的围岩,按《工程岩体分级标准》(GB50218-1994),下列对自稳能力的评价中()是正确的。
A:洞径10~20m可基本稳定;局部可发生掉块
B:洞径5~10m可长期稳定,偶有掉块
C:洞径小于5m可基本稳定
D:洞径大于5m,一般无自稳能力
影响材料耐久性的因素除光照处,还有很多,包括()
A:酸
B:碱
C:高温
D:干旱
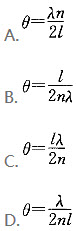
有一玻璃劈尖,置于空气中,劈尖角为θ,用波长为λ的单色光垂直照射时,测得相邻明纹间距为ι,若玻璃的折射率为n,则θ、λ、ι与n之间的关系为:()
A:A
B:B
C:C
D:D
当采用简化方法按整体小开口计算剪力墙时,应满足下列哪个条件?()
A:剪力墙孔洞面积与墙面面积之比大于0.16
B:α≥10,I
n
/I≤ζ
C:α<10,I
n
/I≤ζ
D:α≥10,I
n
/I>ζ
一定量的理想气体,经过等体过程,温度增量△T,内能变化△E
1
,吸收热量Q
1
;若经过等压过程,温度增量也为△T,内能变化△E
2
,吸收热量Q
2
,则一定是:()
A:△E
2
=△E
1
,Q
2
>Q
1
B:△E
2
=△E
1
,Q
2
C:△E
2
>△E
1
,Q
2
>Q
1
D:△E
2
<>△E
1
,Q
2
图示等边角钢制成的悬臂梁AB,c点为截面形心,x′为该梁轴线,y′、z′为形心主轴。集中力F竖直向下,作用线过角钢两个狭长矩形边中线的交点,梁将发生以下变形:()
A:x′z′平面内的平面弯曲
B:扭转和x′z′平面内的平面弯曲
C:x′y′平面和x′z′平面内的双向弯曲
D:扭转和x′y′平面、x′z′平面内的双向弯曲
在BaSO
4
饱和溶液中,加入BaCl
2
,利用同离子效应使BaSO
4
的溶解度降低,体系中c(SO
4
2-
)的变化是:()
A:增大
B:减小
C:不变
D:不能确定
在闭合导线和附合导线计算中,坐标增量闭合差的分配原则是()分配到各边的坐标增量中。
A:反符号平均
B:按与边长成正比反符号
C:按与边长成正比同符号
D:按与坐标增量成正比双符号
重力和粘滞力分别属于:()
A:表面力、质量力
B:表面力、表面力
C:质量力、表面力
D:质量力、质量力
极坐标法放样平面点位的方法,适用于()。
A:已建立建筑轴线
B:已建立建筑方格网
C:远离控制点不便量距
D:测设点离控制点近,便于量距
平面波表达式为y=0.03cos6π(t+0.01x)(SI)则()。
A:其振幅为3m
B:其周期为1/3s
C:其波速为10m/s
D:波沿x正向传播
承压板法测试岩体变形时的主要加压方式有()。
A:逐级连续加压法
B:逐级一次循环加压法
C:逐级多次循环加压法
D:大循环加压法
设a、b为常数,则反常积分
()
A:收敛(对任何q)
B:发散(对任何q)
C:当q<1时收敛,当q≥1时发散
D:当q<1时发散,当q≥1时收敛
已知A点高程H=38.746m,B点设计高程H=40.012m,在A、B两点间安置水准仪,A尺上读数为2.457m,B尺上读数为1.291m,问B点处施工时应()。
A:挖土
B:不填不挖
C:填土
D:先挖后填
直径为D的实心圆轴,两端受扭转力矩作用,轴内最大剪应力为τ。若轴的直径改为D/2,则轴内的最大剪应力应为:()
A:2τ
B:4τ
C:8τ
D:16τ
在波速试验中,可以分为下列哪些试验方法()
A:跨孔波速法
B:单孔波速法
C:面波法
D:横波法
E:纵波法
提高受弯构件抗弯刚度(减小挠度)最有效的措施是:()
A:提高混凝土的强度等级
B:增加受拉钢筋的截面面积
C:加大截面的有效高度
D:加大截面宽度
用于土的工程分类的指标有()。
A:粒径
B:不均匀系数
C:塑性指数
D:含水率
E:渗透系数
曲杆自重不计,其上作用一力偶矩为M的力偶,则图a)中B处约束力比图b)中B处约束力:()
A:大
B:小
C:相等
D:无法判断
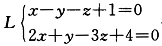
过点M(3,-2,1)且与直线
平行的直线方程为()
A:A
B:B
C:C
D:D
土的物理性质导出指标为()
A:比重
B:饱和度
C:孔隙度
D:干密度
设平面图形的速度瞬心为点c,该点的速度和加速度大小分别用V
c
和a
c
表示,则()
A:必有V
c
=0,a
c
=0
B:有V
c
=0,a
c
≠0
C:可能有V
c
=0,a
c
=0
D:平面图形上各点速度和加速度的分布规律均与它绕定轴c转动的情况相同
下列氧化物不是两性氧化物的是()。
A:Al
2
O
3
B:SnO
C:MgO
D:PbO
首页
<上一页
19
20
21
22
23
下一页>
尾页