自考题库
首页
所有科目
自考历年真题
考试分类
关于本站
游客
账号设置
退出登录
注册
登录
出自:初级中学教师资格证
20世纪60年代,美国前国务卿杜勒斯攻击不结盟是“一种不道德的近视的概念”,苏联也预言这个运动“像走钢丝一样长不了”。这些现象说明了不结盟运动()
A:形成了与美苏抗衡的军事政治集团
B:改变了超级大国对世界事务的控制
C:是国际政治舞台上的一支重要力量
D:缺乏明确而坚定的基本原则和宗旨
有人认为:“1917年的俄国革命是一个整体进程,十月革命不过是这一革命进程的最高潮。”这种认识()
A:主张十月革命开始于1917年3月
B:否定了十月革命的社会主义革命性质
C:严重地贬低了十月革命的历史地位
D:主张十月革命是二月革命的继续和发展
注意转移与人的神经活动的()特性有关。
A:强度
B:兴奋性
C:灵活性
D:平衡性
中国教师的资格条件必须包括以下要件( )
A:必须是中国公民
B:必须具有良好的思想道德品质
C:必须具有规定的学历或经国家教师资格考试合格
D:必须具有教育教学能力
教育目的不仅是教育活动应遵循的根本指导原则,也是检查教育活动的重要依据,体现了教育目的的()
A:导向功能
B:调控功能
C:激励功能
D:评价功能
科技的发展对人具有积极影响,表现在()。①它深刻地影响着社会关系,丰富人们的精神世界②带来了环境的恶化和生态平衡的破坏③在铲除愚昧、破除迷信、战胜邪教的过程中,涵养着人们的科学精神④在促使道德观念发生积极变化,拓宽道德调整领域的过程中,涵养着人们的道德情操
A:①②③④
B:②③④
C:①③④
D:①②④
在一部描写关于武则天统治时期的某家四兄弟情节的小说,不太符合历史事实的是()
A:老大够勇猛,应征当府兵
B:老二爱读书,准备考进士
C:老三力气大,想去考武举
D:老四爱贪玩,经常逛夜市
学生武某上课时,起立回答问题,后排的同学陈某用脚将武某的椅子移开,结果武某重重地坐到了地上。武某当时身体没有任何异样,老师也只批评了陈某几句,就继续上课。可是三天后,武某感到腿脚发麻,后来发展为没办法正常坐着上课。父母将她送往医院诊断,经检查为尾椎受挫伤,导致下半身麻痹,需要长期治疗。对这起事故,()应该担负责任?
A:陈某
B:老师
C:陈某和老师
D:陈某和学校
我国最大的海港和商业中心是()
A:大连
B:上海
C:青岛
D:湛江
学生学业成绩检测与评定的方法主要有考查和考试两种。( )
价值体系个性化内分()和()两个水平。
高尚的学习动机的核心是(),学生把当前的学习同国家和社会的利益联系在一起。
Flash MX的“动作”面板中有()种编辑模式。
A:2
B:3
C:4
D:5
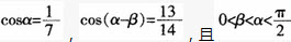
已知,
, (1)求tan2α的值: (2)求β。
贾德提出的迁移理论是()。
A:形式训练说
B:共同要素说
C:概括化理论
D:关系理论
京剧的花脸所属的行当是()。
A:生
B:丑
C:净
D:末
进行德育时要有一定的理想性和方向性,以指导学生向正确的方向发展,这体现了德育的( )。
A:疏导原则
B:因材施教原则
C:连贯性原则
D:导向性原则
教育目的的制定要符合受教育者身心发展的规律。
儿童在发展过程中有两种水平,一种是已经达到的水平;另一种是儿童可能达到的发展水平。这两种水平之间的距离称为()
A:最近发展区
B:潜能发掘区
C:思维表现区
D:教育最佳区
右图是古代雅典制作的陶瓶,从中不能读出()。
A:陶器制造较发达
B:人文思想较浓厚
C:城邦民主较完善
D:公民有强健体质
1979年安徽玉明公社社员叶旗衡写了这样一副对联:“借新账还旧账账账不清,吃一万买一万斤斤不断。”横批:“已经过去”。这副对联说明了()
A:人民公社社员祝愿新的一年丰衣足食
B:旧中国农民悲惨的生活状况已成过去
C:改革开放的春风吹绿了神州大地
D:农村经济体制改革取得了显著效果
俗话说,“不打不相识”“不入虎穴,焉得虎子”。下列选项和这两句俗语反映的道理相同的是()。 ①“汗滴禾下土”才知“粒粒皆辛苦” ②尝百草,才有“神医”李时珍 ③“纸上得来终觉浅,绝知此事要躬行” ④认识是在变革对象的实践过程中产生
A:①②③
B:①③④
C:②③④
D:①②③④
简述皮亚杰认知发展的阶段理论。
我国现行义务教育的法定起始年龄是()。
A:五或六周岁
B:六或七周岁
C:七或八周岁
D:未作规定
据研究,自明初到清末的500余年间,尽管全国总人口数量不断增加,但城市人口数量几乎没有变化,城市化进程陷入停滞。其根源在于()
A:君主专制的强化
B:“男耕女织”的自然经济
C:闭关锁国的政策
D:宋明理学的消极影响
组织教学只是在上课开始时进行的。( )
普罗泰格拉和苏格拉底的相同点有①都注重研究现实社会②都强调知识的重要性③都是古希腊著名的哲学家④都强调人的精神修养()
A:①②③
B:②③④
C:①③④
D:①②④
钱穆在《中国文化史导论》中指出:“游牧、商业起于内不足,内不足则需向外寻求„„农耕可以自给,无事外求,并必继续一地,反复不舍„„草原与滨海地带,其所凭以为资生之地者不仅感其不足,抑且深苦其内部之有阻害。”钱穆认为各种文化形成的根源是()
A:需求差异
B:民族差异
C:生活方式
D:自然环境
“视其所以,观其所由,察其所安”这句话反映了德育的( )
A:导向性原则
B:疏导性原则
C:尊重学生与严格要求相结合原则
D:因材施教原则
()认为,遗忘是由于记忆的痕迹得不到强化而逐渐减弱,以致最后发生消退的结果。
A:衰退说
B:干扰说
C:压抑说
D:提取失败说
首页
<上一页
205
206
207
208
209
下一页>
尾页