自考题库
首页
所有科目
自考历年真题
考试分类
关于本站
游客
账号设置
退出登录
注册
登录
出自:基础考试
均质细杆AB重力为P、长2L,A端铰支,B端用绳系住,处于水平位置,如图所示。当B端绳突然剪断瞬时,AB杆的角加速度大小为:()
A:A
B:B
C:C
D:D
已知反应2A(g)+3B(s)
2C(g)+D(g)△H<0为使A的转化率达到最大,应采取的措施是:()
A:高温低压
B:低温高压
C:高温高压
D:低温低压
一振幅为A、周期为T、波长为λ平面简谐波沿x负向传播,在x=1/2λ处,t=T/4时振动相位为π,则此平面简谐波的波动方程为:()
A:A
B:B
C:C
D:D
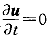
图示圆轴,在自由端圆周边界承受竖直向下的集中F,按第三强度理论,危险截面的相当应力σ
eq3
为:()
A:A
B:B
C:C
D:D
悬臂梁在自由端受集中力P作用,横截面形状和力P的作用线如图所示,其中产生斜弯曲与扭转组合变形的是哪种截面?()
A:矩形
B:槽钢
C:工字钢
D:等边角钢
两个刚片,用三根链杆连接而成的体系是:()
A:几何常变
B:几何不变
C:几何瞬变
D:几何不变或几何常变或几何瞬变
图5-9-4所示微体,斜面上的应力为:()
A:A
B:B
C:C
D:D
在放大电路中,测得某三极管的E、B、C三个电极对地电位分别为-2V、-2.3V、-7V,则这个管子是()。
A:饱和状态的PNP型硅管
B:放大状态的NPN型硅管
C:饱和状态的NPN型锗管
D:放大状态的PNP型锗管
下列给出比例尺的一幅50cm×50cm的地形图中所表示的实地面积最小的是()。
A:1:500
B:1:1000
C:1:5000
D:1:10000
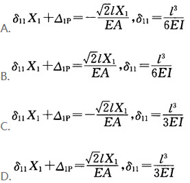
如图a)所示结构,若将链杆撤去,取图b)为力法基本体系,则力法方程及δ
11
分别为:()
A:A
B:B
C:C
D:D
梁的横截面形状如图所示,则截面对Z轴的抗弯截面模量W
z
为:()
A:A
B:B
C:C
D:D
规范规定安装止水带时,止水带中心变形部分位置与设计位置的偏差应()
A:越小越好
B:小于
C:10mm小于
D:5mm满足厂家要求
提高钢结构工字形截面压弯构件腹板局部稳定性的有效措施是:()
A:限制翼缘板最大厚度
B:限制腹板最大厚度
C:设置横向加劲肋
D:限制腹板高厚比
为满足填方工程施工质量的要求,填土的控制含水率应为:()
A:ω
op
±2%
B:ω
p
±2%
C:ω
L
±2%
D:ω
s
±2%
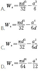
梁的横截面形状如图示,则截面对Z轴的抗弯截面模量W
z
为:()
A:A
B:B
C:C
D:D
Y/△联接的三相变压器,额定容量50kVA,原边额定电压5kV,每相绕组匝数N
1
=1200,副边每相匝数N
2
=80,副边额定电流为()A。
A:150
B:260
C:320
D:450
有甲乙丙丁四个投资方案,设定的基准折现率为12%,已知(A/P,12%,8)=0.2013,(A/P,12%,9)=0.1877,(A/P,12%,10)=0.1770。各方案寿命期及各年净现金流量如表所示,用年值法评价方案,应选择:()
A:甲方案
B:乙方案
C:丙方案
D:丁方案
两危险点的应力状态如图,且σ=τ,由第四强度理论比较其危险程度,有如下答案:()
A:A.应力状态较危险
B:B.应力状态较危险
C:两者的危险程度相同
D:不能判断
岩体的强度性质是指载荷作用下的应力应变关系。
已知一个RS触发器,R、S、C端的信号如图所示,输出端Q的波形中正确的是()。(设触发器初始状态为“0”)
A:图A
B:图B
C:图C
D:图D
十字板剪切试验不可以确定下列土性参数()
A:饱和软粘土不排水抗剪强度
B:饱和粘土不排水残余抗剪强度
C:饱和粘土的灵敏度
D:饱和粘土的渗透系数
防渗墙施工方法主要有()。
A:深搅法
B:高喷法
C:注浆法
D:振动沉模板法
E:射水法
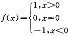
点x=0为函数
的()
A:连续点
B:可去间断点
C:跳跃间断点
D:无穷间断点
根据反应2FeCl
3
+SnCl
2
→2FeCl
2
+SnCl
4
(1),及2KMnO
4
+10FeSO
4
+8H
2
SO
4
→2Mn
2
SO
4
+5Fe
2
(SO
4
)
3
+K
2
SO
4
+8H
2
O(2)均能自发止向进行,可判断出电极电位数值最大(即氧化能力最强)的电对是()。
A:A
B:B
C:C
D:D
如图所示水泵吸水系统,水箱与水池液面高差Z=30m,断面1-1至2-2的总水头损失h
w
=3mH
2
O,则水泵的扬程H至少应为:()
A:30mH
2
O
B:33mH
2
O
C:29mH
2
O
D:40mH
2
O
图a)、b)两种状态中,图a)中作用于A截面的水平单位集中力P=1引起B截面的转角为
,图b)中作用于B截面的单位集中力偶M=1引起A点的水平位移为δ,
则与δ两者的关系为:()
A:大小相等,量纲不同
B:大小相等,量纲相同
C:大小不等,量纲不同
D:大小不等,量纲相同
下列反应中
>0的是:()
A:A
B:B
C:C
D:D
排水固结预压法适用于加固松砂地基。
恒定流具有下述哪种性质?()
A:当地加速度
B:迁移加速度
C:当地加速度
D:迁移加速度
图示截面的抗弯截面模量W
z
为:( )
A:A
B:B
C:C
D:D
首页
<上一页
18
19
20
21
22
下一页>
尾页