自考题库
首页
所有科目
自考历年真题
考试分类
关于本站
游客
账号设置
退出登录
注册
登录
出自:计算机科学
在CorelDRAW中,如果打开的文件缺少字体,CorelDRAW()。
A:出现对话框让您选择
B:自动替换
C:空出字体
D:临时替换
设散列地址空间为0~m
-1
,k为关键字,用P去除k,将余数作为k的散列地址,即:h(k)=k%P,为了减少发生冲突的可能性,一般取P为()。
A:小于m的最大奇数
B:小于m的最大素数
C:小于m的最大偶数
D:小于m的最大合数
McCabe方法的核心是:通过定量分析程序中分支个数或循环个数,对软件测试难度进行定量度量,对软件最终的可靠性进行预测。
在环境艺术设计的概念中,只有对()加以目的性的限定,才具有实际设计的意义。
A:时间
B:空间
C:陈设
D:装饰物
Fireworks中Web dither fills的概念是什么?()
A:渐变填充
B:网络抖动填充
C:图像地图
D:切割对象
可由CPU调用执行的程序所对应的地址空间为物理地址空间。
以下程序的执行结果是()
在word中进行字数统计在()选项卡中。
A:引用
B:视图
C:开始
D:审阅
要根据已经排版完成的Word格式的论文,使用PowerPoint 2010制作一份演示文稿,正确的方法是()。
A:在演示文稿中重新输入Word格式论文的大纲内容
B:使用“新建幻灯片(从大纲)”命令,将Word格式论文中的大纲导入演示文稿
C:将Word格式论文中的大纲内容复制到演示文稿当中
D:在Word格式论文中,使用“发送到Microsoft PowerPoint”命令发送论文大纲内容到演示文稿中
怎样实现数据压缩?数据压缩技术的三个重要指标是什么?
如果8255A的PA口工作于方式2,B口可工作于()工作方式。
A:方式0
B:方式1
C:方式0或方式1
D:方式2
计算机程序是由一行行的语句组成的,程序设计语言对语句格式有一定的要求,我们编程时要写出符合格式要求的语句,否则调试时还需要进行修改。
在不指定特殊属性的情况下,哪几种HTML标签可以手动输入文本?()
A:〈TEXTAREA〉〈/TEXTAREA〉
B:〈INPUT type=“text”/〉
C:〈INPUT type=“hidden”/〉
D:〈DIV〉〈/DIV〉
“New ille”新建字幕对话框可以设置视频的();()和时间,还可以对字幕进行命名
SORT命令按多个关键字段排序时,第1个关键字段称为主关键字段,它需要用″+″号把其他关键字段连起来
软件体系结构的名片型分为()、框架模型、()、()、功能模型。
AAL功能
在网络上应采用什么格式的图片?
()又称作先进先出表。
十六进制数88H,可表示成下面几种形式,请找出错误的表示()。
A:无符号十进制数136
B:带符号十进制数-120
C:压缩型BCD码十进制数88
D:8位二进制数-8的补码表示
项目窗口中,素材的显示形式分为()和()两种。
不是衡量硬盘常用指标的是()
A:容量
B:转速
C:交错因子
D:高速缓存容量
下面是关于多媒体计算机硬件系统的描述,
不正确
的是()。
A:摄像机、话筒、录像机、录音机、扫描仪等是多媒体输入设备。
B:打印机、绘图仪、电视机、音响、录像机、录音机、显示器等是多媒体的输出设备。
C:多媒体功能卡一般包括声卡、视卡、图形加速卡、多媒体压缩卡、数据采集卡等。
D:由于多媒体信息数据量大,一般用光盘而不用硬盘作为存储介质。
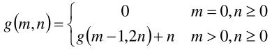
试编写如下定义的递归函数的递归算法,并根据算法画出求g(5,2)时栈的变化过程。
在Visual FoxPro中,表单(Form)是指数据库中各个表的清单。
PowerPoint中,选择幻灯片中的文本时,文本*区控制点是指()
A:文本框的控制点
B:文本的起始位置
C:文本的结束位置
D:文本的起始位置和结束位置
神经网络可分为()、()、()和广泛前向网络。
使用椭圆工具时,按住()键的同时拖动鼠标可以当前位置为圆心画出一个圆。
A:Alt+Ctrl
B:Ctrl+Shift
C:Alt+Shift
D:Ctrl+Enter
在Excel工作表中,可以选择一个或一组单元格,其中活动单元格的数目是()。
在CSS样式表中,()只对所在的网页有效,网页之间不能共享。
A:内部样式表
B:外位样式表
C:低位样式表
D:高位样式表
首页
<上一页
1980
1981
1982
1983
1984
下一页>
尾页