自考题库
首页
所有科目
自考历年真题
考试分类
关于本站
游客
账号设置
退出登录
注册
登录
出自:计算机科学
在菜单栏中,主菜单的文字标识右侧有一个用括号括住带有下划线的英文字符。用户用键盘打开此菜单是按()。
A:[Ctrl]+对应的英文字符
B:[Tab]+对应的英文字符
C:[Shift]+对应的英文字符
D:[A1t]+对应的英文字符
用选择排序法对10个整数从大到小排序。
按照标识特征,检索工具可以分哪两种基本类型?
问题树的应用是进行相互关联的网状分析或展开。
什么是模块?什么是模块化?
发送时延、传播时延、处理时延、往返时延的概念是什么?
主灯
要将命令按钮上的字体设为“宋体”,可设置()的属性为“宋体”。
A:FontBold
B:BackItalic
C:FontName
D:FontSize
三级存储体系中,CPU外的存储器包括()。
A:寄存器
B:CACHE
C:主存
D:辅存
SQL中创建数据库模式应使用()语句。
A:CREATE SCHEMA
B:CEATEE TABLE
C:CREATE VIEW
D:CREATE DATABASE
写一个无死锁、无饥饿的哲学家进餐问题的解。 5个哲学家围坐在圆桌边。每人前面有一支筷子。当一个哲学家思考时,他不影响其他同事。一段时间后,他需要用餐了,而且试图拿到最靠近他的两支筷子。当他拿到两支筷子后,就开始用餐。用毕放下筷子,重新开始思考。 死锁:当5个人同时拿自己左边的一支筷子。再要拿右边的筷子时。他们的要求会被无休止的推迟。这就发生了死锁。 饥饿:当5个人同时拿自己左边的一支筷子,看到右边不可用。同时放下自己左边的一支筷子。等一会,又同时拿起右边的筷子。这样不停忙着。但都无法进展。就发生了饥饿。
原码乘除法运算适用于()
A:操作数必须都是正数
B:操作数必须具有相同的符号位
C:对操作数符号没有限制
D:以上都不对
用户进程通过调用软中断()进入内核。
A:int 0x20
B:int 0x80
C:int 0x21
D:int 0xff
可以通过工具选项卡的应用程序设置中的()设置修改新建零件时的草图平面。
A:草图
B:零件
C:显示
D:常规
如果用户想从资源中心库中调用“螺栓GB/T1667.4-2004”标准件,最快捷的方法是()。()
A:过滤器
B:搜索
C:自动放置
D:列表
路径谈一下你对路径的理解?路径有什么特点?
液晶
微波通信包含的两种方式是()和()。
阅读工程图纸应按照()的识图原则,在阅读其它图纸前先仔细阅读技术说明。
A:先文字,后图形
B:先图形,后文字
C:先平面图,后轴测图
D:先平面图,后原理图
若要使窗体启动时,位于屏幕中央,可通过()一个属性来设置。
A:Top
B:Left
C:StartUpPosition
D:WindowState
在C#程序中,异常处理应该将程序写入哪个结构中()。
A:try/catch
B:find/catch
C:try/fix
D:find/fix
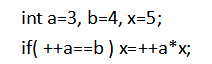
下列语句序列执行后,x的值是()。
A:35
B:25
C:20
D:5
以下哪个不是设计加速器中弹簧包含的选项?()
A:压缩弹簧
B:碟形弹簧
C:拉伸弹簧
D:正弹簧
软件项目立项的一般过程包括哪些?
在Word中,使用什么键盘快捷方式可以看到文档中的所有域代码?()
A:Alt+Shift+O
B:F9
C:Alt+F9
数控机床按同事控制的坐标轴可划分为哪几种类型?并说明其可完成哪些类型零件的加工?
下列选项中哪些测试与网络性能有关()
A:吞吐量测试
B:压力测试
C:负载测试
D:基准性能测试
下列关于提高个人执行力的说法正确的是?()
A:提高个人执行力,需要塑造积极向上,具有较高执行力的性格
B:提高个人执行力,需要利用科学工作方法,提高工作执行力
C:提升个人执行力需要靠一定的人格魅力
D:提升个人执行力可在短期内达到成效
一台微机,配有64M内存,2G硬盘,开机自检时出现故障中断,屏幕提示存储器校验错误,试判断可能的故障原因为()。
在报表和窗体的结构组成中,二者都包含的节有()。
A:窗体页脚
B:页面页眉
C:主体
D:页面页脚
首页
<上一页
1964
1965
1966
1967
1968
下一页>
尾页