自考题库
首页
所有科目
自考历年真题
考试分类
关于本站
游客
账号设置
退出登录
注册
登录
出自:基础考试
下述不是水文地质测绘的基本任务的是()。
A:观察地层的空隙及含水性,确定含水层和隔水层的岩性、结构、厚度、分布、破碎情况及其他变化
B:分析褶皱构造和断裂构造的水位地质特征
C:判断含水层的富水性,主要研究由含水层补给的各种地下水露头的出水量及动态变化
D:压强传导原理
图示结构当高度增加时,杆①的内力将:()
A:增大
B:减小
C:保持非零常数
D:保持为零
等效孔径一般以O
95
或O
90
表示,它代表土工织物的表观最大孔径。
已知正弦交流电压u的初相位角为-45°,有效值为100V,在t=0时刻u的瞬时值为()V。
A:-100
B:100
C:
D:
黏性土的渗透系教一般采用常水头法进行测定。
昆虫能分泌信息素。下列是一种信息素的结构简式:()
A:这种信息素不可以与溴发生加成反应
B:它可以发生银镜反应
C:它只能与1molH
2
发生加成反应
D:它是乙烯的同系物
动点沿半径R=5cm的圆周运动,其运动方程为S=2t(其中S以cm计,t以s计),则动点的加速度的大小为()
A:A
B:B
C:C
D:D
水利水电工程中常用的地基土原位试验包括()
A:原位土体剪切试验
B:十字板剪切试验
C:静力荷载试验
D:静力触控试验
E:波速试验
在三轴压缩试验中,固结不排水条件下可测得土的有效内摩擦角。
已知铆钉的许可切应力为[τ],许可挤压应力为[σ
bs
],钢板的厚度为t,则图示铆钉直径d与钢板厚度t的关系是:()
A:A
B:B
C:C
D:D
量子数n=4,ι=2,m=0的原子轨道数目是:()
A:1
B:2
C:3
D:4
图示体系的几何构造性质是:()
A:无多余约束的几何不变体系
B:有多余约束的几何不变体系
C:几何常变体系
D:几何瞬变体系
影响土的压实性能的主要因素包括()。
A:含水率
B:压实功能
C:颗粒级配
D:渗透性
在迈克耳逊干涉仪的反射镜M
2
平移距离为0.3220mm时,测得某单色光的干涉条纹移过1024条,则该单色光的波长为:()
A:6.28×10
-7
m
B:5×10
-7
m
C:4×10
-7
m
D:7×10
-7
m
已知f(x)的原函数为
=()
A:A
B:B
C:C
D:D
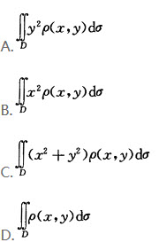
面密度为连续函数ρ(x,y),在xOy面占有区域D的平面薄片对x轴的转动惯量I=()
A:A
B:B
C:C
D:D
铸铁构件受力如图所示,其危险点的位置有四种答案:()
A:①点
B:②点
C:③点
D:④点
矩形截面梁横力弯曲时,在横截面的中性轴处:()
A:正应力最大,剪应力为零
B:正应力为零,剪应力最大
C:正应力和剪应力均最大
D:正应力和剪应力均为零
在基坑支护结构土压力计算中,土的抗剪强度指标c值应采用()
A:十字板剪切试验
B:不固结不排水压缩试验
C:固结不排水压缩试验
D:固结排水压缩试验
常水头渗透试验中,单位时间内流过土样同一断面的透水量是不变的。
图示梁中点C的挠度等于:()
A:A
B:B
C:C
D:D
最常用岩石抗拉强度试验方法是()。
A:弯曲试验法
B:圆柱体径向压裂法
C:劈裂法
D:轴向拉伸法
图示两根细长压杆,L、EI相同。a)杆的稳定安全系数n
st
=2;则(b)杆实际的稳定安全系数n
st
有四种答案:()
A:1
B:2
C:3
D:4
WWW是Internet上的一种()。
A:服务
B:协议
C:协议集
D:系统
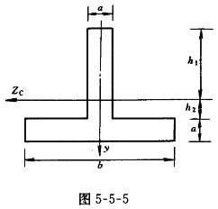
图5-5-5中z是形心轴,z轴以下面积对z轴的静矩|S|有四种答案:()
A:A
B:B
C:C
D:D
岩体变形试验中刚性承压板面积一般为()cm
2
。
A:0.1
B:0.2~0.25
C:0.5
D:1.0
岩体应力主要由()组成。
A:自重应力
B:地质构造应力
C:附加荷载
D:有效应力
关于土工织物的孔径,下列说法正确的是:()
A:是水力学特性的一项重要指标
B:反应土工织物的过滤性能
C:评价土工织物阻止土颗粒通过的能力
D:反应土工织物透水性
分时操作系统通常采用()策略为用户服务。
A:优先级
B:时间片轮转
C:先来先服务
D:最短作业优先
如图所示电路在达到稳定状态后,R增加,则该电路()。
A:因为换路,要产生过渡过程
B:因为有储能元件,又发生换路,因而产生过渡过程
C:因为C的储能值不变,不发生过渡过程
D:能否发生过渡过程,和电容C的大小有关
首页
<上一页
17
18
19
20
21
下一页>
尾页