自考题库
首页
所有科目
自考历年真题
考试分类
关于本站
游客
账号设置
退出登录
注册
登录
出自:计算机科学
在一个关系中如果有这样一个属性存在,它的值能惟一地标识关系中的每一个元组,称这个属性为()
A:关键字
B:数据项
C:主属性
D:主属性值
在绘制直线时按住()键,可绘制出与水平成45°的线段。
什么是产品线体系结构?
利用邮件列表推广渠道,应注意?
高电平时表示()
“一拍二”代表同样的画面需要重复拍摄两次,那么一秒钟动画需要()张画面。
A:6
B:8
C:12
D:24
如希望使已经使用过的草图在更多的草图特征中使用,应使用下列哪个命令?()
A:退化草图
B:共享草图
C:复制草图
D:引用草图
高端显卡有专门为其供电的接口,安装时必须连接此供电,否则显卡不能工作。
无纸二维动画的制作工序:脚本→人物、道具和设计→分镜头设计稿→()→动画→上色→合成→配音。
在网址http://www.google.com中的http所代表的含义是()
A:TCP/IP
B:超文本传输协议
C:流媒体传输协议
D:主机名
令A={a,b},B={1,2,3},C={p,q}。求出: (1)A×B×C (2)B×A
Mid(“asp网络程序设计”,4,6)的返回值是:()
若想增加一个图层,但在图层面板的最下面(创建新图层)的按钮是灰色不可选,原因是下列选项种的哪一个?()
A:图像是灰度模式
B:图像是索引颜色模式
C:图像是CMYK模式
D:图像是双色调模式
Windows Internet名称服务指的是()。
A:DNS
B:WINS
C:TCP
D:IP
下面对于Display类描述正确的是()。
A:Display对象在每个MIDlet之中只有2个
B:Dispaly对象在每个MIDlet之中只有1个
C:Display对象在每个MIDlet之中可以有多个
D:Display对象在每个MIDlet根据不同情况可以设置多个
在汉字系统下,汉字库(汉字的点阵字模)其作用是()。
A:用作汉字的输入
B:用作汉字的内码
C:用作汉字的显示和打印
D:用作汉字的传输码
状态图可以表现()在生存期的行为、所经历的状态序列、引起状态转移的事件以及因状态转移而引起的动作。
A:一组对象
B:一个对象
C:多个执行者
D:几个子系统
在VFP中,以下有关报表的叙述错误的是()。
A:表和视图可以作为报表的数据源
B:报表文件的扩展名为.frx,报表备注文件的扩展名为.frt
C:列报表的布局是指在报表中多行打印一条记录数据
D:在默认情况下,“报表设计器”中显示页标头、细节和页注脚带区
固定在计算机主机箱箱体上、联结计算机各种部件、起桥梁作用的是()。
A:CPU
B:主板
C:外存
D:内存
宏定义:
申农把信息定义为两次不确定性之差,即:信息(量) = 通信前的不确定性 - 通信后尚存的不确定性。
设(DS)=2000H,(ES)=2100H,(SS)=1500H,(SI)=00A0H,(BX)=0100H,(BP)=0010H,数据变量VAL的偏移地址为0050H,请指出下列指令的源操作数字段是什么寻址方式?它的物理地址是多少? (1) MOV AX,21H (2) MOV AX,BX (3) MOV AX,[1000H] (4) MOV AX,VAL (5) MOV AX,[BX] (6) MOV AX,ES:[BX] (7) MOV AX,[BP] (8) MOV AX,[SI] (9) MOV AX,[BX+10] (10) MOV AX,VAL[BX] (11) MOV AX,[BX][SI] (12) MOV AX,VAL[BX][SI]
下面哪些数据类型所占的内存一定不会大于10字节?()
A:只包含基本数据类型的结构
B:只包含基本数据类型的联合
C:枚举
D:类类型
汽车有一个发动机。汽车和发动机之间的关系是()关系
A:一般具体
B:整体部分
C:分类关系
D:主从关系
CorelDRAW X5中所绘制的圆角【矩形】,在未转换为曲线之前,对其进行水平或垂直的变形时,其圆角设定值会随着改变
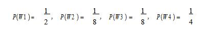
考虑一个码长为4的二元码,其码字为W1=0000,W2=0011,W3=1100,W4=1111。假设码字送入一个二元对称信道(其单符号错误概率为p,且p<0.01),而码字输入是不等概率的,其概率为
试找出一种译码规则使平均错误概率PE最小。
在Windows中,有些文件的内容比较多,即使窗口最大化,也无法在屏幕上完全显示出来,此时可利用窗口()来阅读文件内容。
A:窗口边框
B:控制菜单
C:滚动条
D:最大化按钮
列表的属性值为square表示列表符号是()。
A:方块
B:空心圆
C:实心圆
D:以上都不对
为了使所建立的模型随时按需要可变,应确保模型特征的()和()
什么是j2ee()。
A:一种架构
B:一个编译器
C:一门语言
D:一个开发环境
首页
<上一页
1872
1873
1874
1875
1876
下一页>
尾页