自考题库
首页
所有科目
自考历年真题
考试分类
关于本站
游客
账号设置
退出登录
注册
登录
出自:移动通信机务员
在NE80E的RPR环网中,基本数据操作包括:()。
A:上环(insert)
B:下环(copy)
C:过环(transit)
D:剥离(strip)
在无源光网络(PON)中,由于整个网络没有有源器件,所以ONU不需要电源,达到了绿色节能的效果。
某一秒内包含有不少于()的误块或者至少出现一个严重扰动期(SDP)时认为该秒为严重误块秒。
A:10%
B:20%
C:30%
D:40%
传输系统的性能对整个通信网的通信之来年国起着至关重要的作用,影响SDH传输网传输性能的主要传输损伤包括()。
A:误码
B:抖动
C:漂移
D:非线性效应
APG网元STS统计文件的格式有()和LF两种,现网使用的是().
TX参考点在何处()。
A:跳线电缆与RBS连接的地方
B:跳线电缆与TX输出连接的地方
C:跳线电缆与合并器输出连接的地方
D:跳线电缆与天线连接的地方
E:紧接天线外部
10G设备EPS保护需要参与倒换的单板有()。
A:SP08
B:EU08
C:ATPT
D:ATPR
E:ASCC
F:AXCS
郑州城域网(市区)网分为骨干层和汇聚层,机械所站在骨干层上。()
以下哪项不是产生13M时钟失锁的原因()。
A:传输参考源丢失
B:BSC的2M时钟偏差较大
C:GTMU的时钟的晶振DA初始值设置不对
D:MSC的13M时钟偏差较大
系统产生指针调整时,肯定会出现误码。()
AXE软件追踪系统的入口指令是().
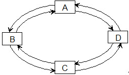
若A和C之间互通业务,参照下图说明传输网上的业务单向业务和双向业务?
目前华为光网络产品中,采用了三级CLOS交叉矩阵的产品有()、()。
根据《YD-T_5160-2007无线通信系统室内覆盖工程验收规范》工程初验时,测试过程应有哪几方参与()
A:建设单位
B:施工单位
C:供货单位的相关技术人员
D:监理单位
E:代维单位
SDH传输体制可将PDH三种数字系列及ATM等数字系列映射到()。
请给出以下APZ21240/50备份流程的正确顺序()①CP-SB边接收Backupcopy②自动备份功能可以被激活③Backupcopy传送到APG40中④系统备份将拷贝到内存的备份区域⑤SB边进行RELOAD,DS,RSandPS数据得到更新⑥人工指令进行系统备份或自动备份开始⑦Backupcopy传送到SB边
中移山东公司员工培训中心鉴定站()中移山东公司员工培训中心鉴定站中移山东公司员工培训中心鉴定站护子网的传输网络上才允许创建路径。
集团规范中规定,故障工单处理及时率的指标为()。
A:0.9
B:0.95
C:0.99
10GV2设备交叉板倒换在()板上完成。
关于IGWB服务器端进程启动描述错误的是()。
A:操作系统启动后,PWD服务也随之启动
B:PWD服务启动双机进程
C:KERNEL进程启动双机进程
D:KERNEL进程依次启动操作维护进程和接入点进程
APG的NODEA和NODEB都有各自的CLUSTER的IP地址
对不清楚或没有把握回答、解决的问题,应当场先许诺,再上报给公司。
下列关于MA5200 Fproxy专线的说法,哪个是
不正确
的?()
A:proxy专线与普通用户都可以进行用户连接控制(connection-limit)
B:proxy专线适应于网吧代理服务器使用
C:一个端口VLAN下面仅仅只能有一个proxy专线用户
D:proxy专线用户除用户接入类型(access-typE.与普通用户不同外,其它配置相同
某网络连接如下所示:HostA----GE0/0--MSR-1--S1/0---------S1/0--MSR-2--GE0/0----HostB客户要求仅仅限制HostA与HostB之间的ICMP报文,如下哪些做法是可行的?()
A:在MSR-1上配置ACL禁止源主机HostA到目的主机HostB的ICMP报文,并将此ACL应用在MSR-1的GE0/0的outbound方向
B:在MSR-1上配置ACL禁止源主机HostA到目的主机HostB的ICMP报文,并将此ACL应用在MSR-1的S1/0的outbound方向
C:在MSR-1上配置ACL禁止源主机HostB到目的主机HostA的ICMP报文,并将此ACL应用在MSR-1的S1/0的outbound方向
D:在MSR-1上配置ACL禁止源主机HostB到目的主机HostA的ICMP报文,并将此ACL应用在MSR-1的GE0/0的outbound方向
OptiX 155/622H单个设备可处理的Ethernet业务最大为()。
A:12×2Mbit/s
B:24×2Mbit/s
C:36×2Mbit/s
D:48×2Mbit/s
多余的电源线应绑扎整齐,盘在配电柜侧。()
AR46支持的OSI模型网络层路由协议包括:()。
A:OSPF
B:ISIS
C:ESIS
D:BGP
在RS232串口中,采用哪一种校验方式:()。
A:CRC校验
B:海明码校验
C:多种校验方式的组合
D:奇偶校验
三阶高密度双极性码(HDB3)的特性是有直流、无时钟分量,能做不中断的误码检测,连“0”数<3。()
MA5200G静态用户上线失败可能的原因有?
首页
<上一页
183
184
185
186
187
下一页>
尾页