自考题库
首页
所有科目
自考历年真题
考试分类
关于本站
游客
账号设置
退出登录
注册
登录
出自:农学
二年生花卉的概念及其特点?
英译中(Translate):lenticular transpiration()
黏土质宜耕期短,砂质土宜耕期长。
容重指单位面积的重量。
简述园艺设施荷载的类型及荷载的组合。
生产无公害农产品都不能施用农药吗?
竞争排除
主根和侧根均属于初生根么?
园艺植物常用的扦插方法有哪些?
土壤团粒结构是指土壤中粒径为()毫米的小团聚体。
A:<0.85
B:0.85-100
C:105-80
D:85-30
实地回访内容
下列果实和种子中可借风力传播的是()。
A:莴苣
B:棉花
C:苍耳
D:鬼针草
E:榆
F:凤仙花
活性炭加入培养基中的目的主要是利用其吸附能力,减少一些有害物质的影响,因此加得越多就越有利于培养物的生长。
群落外貌
最简单的划分气候带的方法是以什么作指标?划出的气候带名称是什么?
生命、生态系统和生物圈都是维持在一种稳定状态的开放系统。
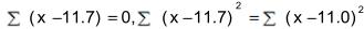
测得玉米品种川单13号5个小区的产量(x)分别为:12.0,11.5,12.5,11.0,11.5(㎏)a,则()。
A:
B:
C:
D:
缓释肥料
东方木蠹蛾的生活规律与防治方法有哪些?
试叙述四种青贮方式的特点及应用场合。
下列蔬菜植物各属于哪个科:菠菜:();苋:();落葵:();牛皮菜:()。
各国运用的灌溉系统可分为()、()、()三大类。
下列哪种植物不是含羞草科的()。
A:台湾相思
B:银合欢
C:南洋楹
D:海南蒲桃
饰变
干绝热变化
半腐殖质
裸子植物的一般特征。
在减数分裂过程中,由于(),因而染色体数目减少一半。
A:细胞分裂两次,DNA未复制
B:细胞分裂一次,DNA复制一次
C:细胞分裂两次,DNA复制一次
D:细胞分裂两次,DNA复制两次
茶园节水灌溉技术的种类有:管道输水、()、()等。
警戒色
首页
<上一页
1847
1848
1849
1850
1851
下一页>
尾页