自考题库
首页
所有科目
自考历年真题
考试分类
关于本站
游客
账号设置
退出登录
注册
登录
出自:计算机科学
将大的软件划分成模块有什么好处?是不是模块划分得越小越好?划分模块的依据是什么?
什么是采样?根据Nyquist理论,若原有声音信号的频率为20Khz,则采样频率应为多少?
基于规则的正向演绎系统的子句形式()
A:子句的合取式(合取范式)
B:子句的析取式(析取范式)
C:文字的析取式
D:文字的合取式
多媒体技术的发展有两条主线可循:一条是视频技术的发展,一条是音频技术的发展。
不是网络数据库选型的是()
A:学习版
B:工作组版
C:企业版
D:个人版
请判断以下哪些属于多媒体的范畴()。 (1)彩色电视 (2)交互式视频游戏 (3)彩色画报 (4)立体声音乐
A:(2)
B:(1)、(2)
C:(1)、(2)、(3)
D:全部
若需要在O(nlog2n)的时间内完成对数组的排序,且要求排序是稳定的,则可选择的排序方法是()。
A:快速排序
B:堆排序
C:归并排序
D:直接插入排序
为确保企业局域网的信息安全,防止来自Internet的黑客入侵,采用()可以实现一定的防范作用。
A:网络管理软件
B:防病毒软件
C:邮件列表
D:防火墙
设信源
求此信源的熵,并解释为什么H(X)>log6,不满足信源熵的极值性。
下列命题正确的是()。
A:一个图的邻接矩阵表示是唯一的,邻接表表示也唯一
B:一个图的邻接矩阵表示是唯一的,邻接表表示不唯一
C:一个图的邻接矩阵表示不唯一的,邻接表表示是唯一
D:一个图的邻接矩阵表示不唯一的,邻接表表示也不唯一
在一次最小模式总线读周期中,8086CPU先后发出了哪些信号?各有什么用处?
关于关系规范化、关系模型和关系运算,以下说法中错误的是()。
A:关系模型中,主要是通过外部关键字表示实体之间的联系
B:关系规范化的主要目的之一就是完全消除数据冗余
C:在进行关系运算的并、差、交运算时,两个关系的结构必须相同
D:一个规范化的二维表中,其行、列的顺序可任意交换
在工具箱中单击缩放工具切换到100%的缩放比例。
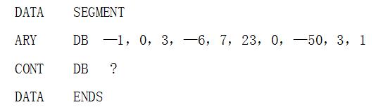
编写程序段,统计数组ARY中负数的个数,并存入CONT单元中。下面给出数据段的定义。
使用Photohhop选择人物的轮廓,最适合使用的工具是()
A:选择框工具
B:魔术棒
C:套索工具
D:钢笔工具
断点中断的中断类型码是()。
A:1
B:2
C:3
D:4
以下材质类型中哪一个更适合磨沙玻璃的效果()
A:金属
B:半透明
C:各向异性
D:多层材质
微处理器是将()和()集成在一个芯片上的()。
没有眼睛也可以具有视觉,只要它能够感知客观世界的空间结构与存在。
运算符重载实际上是对已有的运算符重新定义其功能。
()不是使用电子邮件交流信息的优点。
A:传递方便、快速。
B:信息的表现形式不受限制。可以是文字、视频或语音。
C:可利用存储、转发等方式为用户提供多种信息交换方式。
D:同一时间只能向一个接收者发送信息。
OFDM和OFDMA的区别是什么?
IP包中包含源端口和目的端口。
以下()其印墨透过性较佳
A:绢网
B:尼龙
C:特多龙
D:UV网
带有虚基类的多层派生类构造函数的成员初始化列表中都要列出虚基类的构造函数,这样将对虚基类的子对象初始化()。
A:与虚基类下面的派生类个数有关
B:多次
C:二次
D:一次
下列关于实体描述错误的是()。
A:实体是客观存在并相互区别的事物
B:不能用于表示抽象的事物
C:既可以表示具体的事物,也可以表示抽象的事物
D:数据独立性较高
软件结构设计的基本的原则包括()、抽象、信息隐蔽和局部化、模块独立。
A:系统模块化
B:概念化
C:图形化
D:可视化
采暖系统中线型的规定,一般用粗实线表示供水管、()表示回水管。
为了将归档文件./myftp.tar.gz解压缩到当前目录下,我们可以使用()。
A:tarcvzf./myftp.tar.gz
B:tarxvzf./myftp.tar.gz
C:tarvzf.mytp.tar.gz
D:tarztvf./myftp.tar.gz
下列哪个命令可将块生成图形文件()
A:Save
B:Explode
C:Block
D:Wblock
首页
<上一页
1837
1838
1839
1840
1841
下一页>
尾页