自考题库
首页
所有科目
自考历年真题
考试分类
关于本站
游客
账号设置
退出登录
注册
登录
出自:计算机科学
下列属于搜索引擎的网站是()。
A:Yahoo
B:Microsoft
C:人民日报(网络版)
D:中央电视台
常见的FLASH文件格式有fla文件和()文件。
下列动画文件中,能用Flash软件进行修改的是()。
A:日月转迹.fla
B:日月轨迹.exe
C:日月轨迹.html
D:日月轨迹.swf
用十六进制表示Visual Basic的整型常数时,前面要加上的符号是()
A:&H
B:&O
C:H
D:O
数据操纵语言DML根据其实现方法可以分为()和()两大类。
A:自含型语言;宿主型语言
B:自主型语言;高级语言
C:高级语言;宿主型语言
D:高级语言;低级语言
系统工程的基本思想有()。
A:总体最优观点
B:定量定性相结合观点
C:问题导向与反馈控制
D:全局观点
R13在Thumb指令中常用作堆栈指针,但这只是一种习惯用法,用户也可使用其他的寄存器作为堆栈指针。()
模块的控制范围
Internet上有许多服务,其中用来收发信件的服务是()。
UART是用硬件实现()通信的()电路。
8086CPU中,数据线D0~D15和地址线A0~A15为复用引脚。
细线具有精致、挺拔、锐利的个性,粗线则具有()、()的个性。
打开数据库设计器的命令是()。
星状网络可靠性较高。
WWW服务于()年由设立在欧洲瑞士的粒子物理研究中心开发研制出来。
已知:一个用于表示多边形的C++类CPolygon定义如下
1请为其添加必要的成分,使其支持序列化。 2为CPolygon类添加的绘制方法。 3为CPolygon类添加克隆方法CPolygon* Clone( )
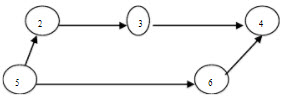
下列图的拓扑序列是()。
A:5、2、3、4、6
B:5、2、3、6、4
C:5、6、4、2、3
D:2、3、4、5、6
MPC
向量中断与中断向量在概念上有何区别?中断向量和中断向量表有何区别?
8086/8088CPU的寄存器组中,16位的寄存器共有()个。
A:10
B:12
C:13
D:14
将RGB颜色模式转换为CMYK模式需要以()颜色模式作为中间环节。
多重选择的嵌套可以达到多分支的目的。
在音频采样过程中,采样频率越高,量化深度越大,声音质量越好,声音文件也较小。
派生类的构造函数包含着直接基类的构造函数。
若有说明class X{int a;void fun1();public:void fun2();};X objX;,则在类外使用对象objX成员的正确语句是()
A:objX.a=0;
B:objX.fun1();
C:objX.fun2();
D:X::fun1();
Visual Studio中的()将文件安装到目标计算机的文件系统中。
A:安装项目
B:WEB安装项目
C:用户自定义安装项目
D:拆分项目
WMA格式以减少数据量但保持音质的方法来达到比mp3压缩率更高的目的。
简述游戏不同风格在游戏中的应用。
()在电脑中存取速度最快。
A:软盘
B:硬盘
C:光盘
D:内存
当前国际上提倡生产的“绿色”电脑,其特点是()。
A:采用高清晰度的绿色显示器
B:功耗少、且采用减少环境污染的部件
C:具有电子邮件通信功能
D:体积小、重量轻、便于携带
首页
<上一页
1789
1790
1791
1792
1793
下一页>
尾页