自考题库
首页
所有科目
自考历年真题
考试分类
关于本站
游客
账号设置
退出登录
注册
登录
出自:计算机科学
char a[5][4],a的地址为0,问printf(“%d”,a[4]+3)值
在outlook中使用邮件规则的作用()。
A:可以在收信时自动把不同的来信分类放在相应的文件夹中
B:可以加快接收邮件的速度
C:可以把发出的信件自动放在相应的文件夹中
D:可以加快发送邮件的速度
检测交换机的连通性的命令是()
A:ping
B:ipconfig
C:cmc
水平子系统通常由()对非屏蔽双绞线组成,如果有磁场干扰时可用()。
活动图中的分劈和同步接合图符是用来描述()。
A:多进程的并发处理行为
B:对象的时序
C:类的关系
D:系统体系结构框架
如果一个学校只能有一个校长,而且一个校长不能同时担任其他学校的校长,学校和校长两个实体之间的关系属于()
A:一对一联系
B:一对二联系
C:多对多联系
D:一对多联系
汇聚与接入交换机均为()设备。
A:二层
B:三层
C:四层
D:五层
下列常用文件及其扩展名对应的说法中,错误的是()
A:html:网页
B:rar:压缩包
C:rm:视频文件
D:txt:Word
Which instantiates an instance of Inner?()
A:new Inner(); // At line 3
B:new Inner(); // At line 8
C:new o.Inner(); // At line 8
D:new Outer.Inner(); // At line 8
以太网中,是根据()地址来区分不同的设备的。
A:IP地址
B:LLC地址
C:IPX地址
D:MAC地址
各类传统犯罪与高技术犯罪之间以利益为纽带相互融合,使犯罪活动呈现技术性强、侦破难度大的特点。
Delta变换UPS由于交流输入电流是受DeltA.逆变器控制的,可以是与输入电源同频同相的正弦波,所以DeltA.逆变器的输入功率因数可以做到接近1。
请讲述Port-VLAN和Tag-VLAN的特点及应用环境。
什么是数据独立性?在数据库系统中,如何保证数据的独立性?
在幻灯片浏览视图下,移动幻灯片的方法是()。
A:按Shift键拖动幻灯片到目标位置
B:选择幻灯片,单击“剪切”按钮,单击目标位置,再单击“粘贴”按钮
C:按Ctrl键拖动幻灯片到目标位置
D:拖动幻灯片到目标位置
通用后置处理系统一般要求输入标准格式的()和()或(),输出的是符合该数控系统格式的数控程序。
目前,常用的双绞线电缆一般分为两大类,第一大类为(),简称UTP网线,第二大类为(),简称为STP。
模块的内聚度越小越好。
已知x和y是两个等长的整数列表,那么表达式sum((i*jfori,jinzip(x,y)))的作用是计算这两个列表所表示的向量的内积。
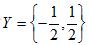
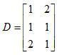
若某无记忆信源
,接收符号
,其失真矩阵为
,求信源的最大失真度和最小平均失真度,并求选择何种信道可达到该D
max
和D
min
的失真度。
下列关于宏操作MessageBox的叙述中,错误的是()
A:可以在消息框中给出提示或警告
B:可以设置在显示消息框的同时扬声器发出嘟嘟声
C:可以设置消息框中显示的按钮的数目
D:可以设置消息框中显示的图标的类型
冯•诺伊曼型计算机的工作原理是()。
A:计算精度高
B:量子理论
C:运行速度快
D:存储并自动执行程序
在17~18世纪,美国人()尝试用()代替金属版来印刷商业海报和其他商业广告。
软件工程过程有哪几个基本过程活动?试说明之。
通常的工业现场的模拟量信号有哪些()
A:温度
B:压力
C:湿度
D:亮度
同轴电缆是目前的计算机网络电缆中最常用的一种缆线。
OSI模型的第4层是哪一层?()
A:传输层
B:会话层
C:表示层
D:应用层
下图是一个状态图,完成题目:
第1题,共4个问题
(简答题)CourseAttempt和Studying都是什么状态?
第2题,共4个问题
(简答题)不同的是,Studying是一个什么,它被分成三个区域。
第3题,共4个问题
(简答题)有人认为,当控制从CourseAttempt的初始状态传送到Studying 状态时,控制将被分岔为三个并发的流,对象同时处于三个区域的初始状态,你认为是否正确?
第4题,共4个问题
(简答题)而当Studying状态的一个区域到达其终态时,对象就可以转移到Passed状态,你认为是否正确?
简述16位机的各类寄存器的主要作用。
泳道是一种分组机制,它描述了状态图中对象所执行的活动。()
首页
<上一页
1739
1740
1741
1742
1743
下一页>
尾页