自考题库
首页
所有科目
自考历年真题
考试分类
关于本站
游客
账号设置
退出登录
注册
登录
出自:计算机科学
镜头的跳跃与衔接一般分为()。
A:动作衔接
B:视线衔接
C:声音衔接
D:特效衔接
E:出入画衔接
F:空镜衔接
重分类一般包括四种基本分类形式:()、()、()、()
经过消隐得到的图形称为消隐图。
并置构成的版面有()的意味,给予原本复杂喧闹的版面以秩序、安静、调和与节奏感。
A:比较
B:对比
C:解释
D:解说
执行以下指令后: MOV BL,56H TEST BL,0FH BL的内容为:()
A:3FH
B:56H
C:24H
D:F3H
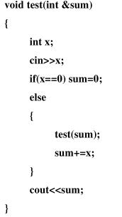
下面程序的输出结果是()。
A:741
B:852
C:963
D:875421
IEEE754浮点数表示中的阶码采用的是()
A:原码
B:反码
C:补码
D:移码
在下面列出的数据模型中,哪一个属于概念数据模型()。
A:关系模型
B:层次模型
C:网状模型
D:实体—联系模型
写出用下列寻址方式将存储单元X中的第3个字取出,AX与其相加再放入Y单元的指令序列。 (1)直接寻址 (2)寄存器相对寻址 (3)基址变址
数据库中数据的独立性分为()和()。
试将下列递归过程改写为非递归过程。
《小蝌蚪找妈妈》
在窗体运行时,若要以程序代码的方式改变窗体的宽度,可用()属性进行设置。
A:Move
B:Resize
C:Width
D:Height
硬盘驱动器和适配器总称为()。
A:输入设备
B:内存储器
C:硬盘存储器
D:只读存储器
算法的稳定性
简述自主访问控制的内涵及其保护的对象。
下面四个运算符中,优先级最低的是()
A:[]
B:()
C:->
D:++
要保存某个显示结果,用()命令。
循环队列的优点是什么?在循环队列中,仅依据头尾指针相等,无法判断队列是“空”还是“满”。要解决这个问题,常用的两种方法是什么?
在Word文档中,移动光标到文本开头的组合键为()。
A:Ctrl+PageUp
B:Ctrl+PageDown
C:Ctrl+Home
D:Ctrl+End
OFFSET命令与COPY命令有什么区别?如何COPY命令连续复制多个对象?
现有一数据区data1,需对其进行按字和按字节访问,请问应如何进行设置?
以下()可从通用对话框的“颜色”对话框中返回用户选择的颜色。
A:FileName
B:Path
C:FontName
D:Color
abc.avi为()文件,abc.swf为()文件。
已知由一个线性链表表示的线性表中含有三类字符的数据元素(如:字母字符、数字字符和其他字符),试编写算法将该线性表分割为三个循环链表,其中每个循环链表表示的线性表中均只含一类字符。
制作下面的图像效果的方法是()
A:打开两张原始背景图(人物和海水图像),将风景图像拖到人物图像中,并把当前层设置为蒙版层后,用渐变工具从下向上拖动,使之产生羽化效果,从而溶合在一起。
B:打开两张原始背景图(人物和海水图像),将风景图像拖到人物图像中,并把当前层设置为蒙版层后,用渐变工具从上向往下拖动,使之产生羽化效果,从而溶合在一起。
C:打开两张原始背景图(人物和海水图像),将风景图像拖到人物图像中,选择风景图像后反向选择,执行羽化命令后按delete键,使之风景图羽化,从而出现这种结果。
D:以上说法均正确。
计算机图形、图像的区别,通常体现为()的区别。
A:设计图与照片
B:用途
C:生成方式
D:与分辨率的关系
在J2EE中,使用Servlet过滤器时,可以在web.xml文件的()元素中包括
元素。
A:
B:
C:
D:
以下哪些做法可以增强用户口令的安全性()
A:选择由全英文字母组成的口令
B:选择由全数字组成的口令
C:选择与自己身份相关的口令,以免忘记
D:选择无规律的口令
关于无足类爬行动物特点说法正确的选项是()。
A:它们都是用四胶前后交替问前爬行,在陆地上爬行比较迟钝
B:爬行时,长长的尾巴会随着步子左右缓慢摆动,成波形曲线运动
C:愈到尾部摆动的幅度就愈大
D:沉重的尾巴既是在水中游泳的工具,同时又是袭击猎物有力的武器
首页
<上一页
1725
1726
1727
1728
1729
下一页>
尾页