自考题库
首页
所有科目
自考历年真题
考试分类
关于本站
游客
账号设置
退出登录
注册
登录
出自:计算机科学
在excel中的“插入”选项卡中的超链接中不可链接到的位置是()。
A:本文档中的位置
B:电子邮件地址
C:现有的文档或网页
D:新建文件夹
什么是软件危机?软件危机有什么表现?软件危机产生的原因是什么?
在()完整性约束中,每个约束只能涉及到1个属性,在()完整性约束中,每个约束可以涉及到多个属性。
批处理系统的主要优点是系统的吞吐量大、资源利用率高、系统的开销较小。
关于main方法中的arg[],下列哪个表述是正确且全面的()
A:main方法中的参数是字符串数组arg[],args是命令行参数,字符串数组arg[]的元素是在程序运行时从命令行输入的。
B:main方法中的参数是字符串数组arg[],args是命令行参数,字符串数组arg[]的元素是在程序编译时从命令行输入的。
C:main方法中的参数是字符串数组arg[],args是命令行参数,字符串数组arg[]的元素是在程序编译时直接写入txt文件的。
D:main方法中的参数是字符串数组arg[],args是命令行参数,字符串数组arg[]的元素可以在任何需要的时刻内输入。
基于UML的分析与设计过程包含哪些主要活动?
磁盘的数据传输率有两个,一是()的内部传输率,另一个是()的外部传输率。
表达式10/5*3^2Mod4+3-20Mod8/3的结果是()。
A:出错
B:5
C:4
D:3
内存突然变小,以前能运行的程序突然不能运行这种情况表示计算机可能带病毒。
软件实际就是程序。
全彩色电视信号采用YUV颜色模型有什么优点?
在后控词表,等同关系的显示,实际上是用代关系。
Authorware的分支图标提供()种分支方式。
A:3
B:4
C:5
D:6
主要的用户信息表示形式有哪些?
在软件开发中,采用异构结构有什么好处,其负面影响有哪些?
如果企业需要员工在拜访位于多个不同地点的客户时访问Internet,应该向其推荐哪种技术()。
A:手机
B:ADSL
C:ISDN
D:VPN
假设数据项定义如下: DATA1DB‘HELLO!GOODMORNING!’ DATA2DB20DUP(?) 用串操作指令编写程序段,使其分别完成以下功能: 从左到右将DATA1中的字符串传送到DATA2中。 传送完后,比较DATA1和DATA2中的内容是否相同。 把DATA1中的第3和第4个字节装入AX。 将AX的内容存入DATA2+5开始的字节单元中。
内核将模块的初始化代码与模块代码加载到同一块内存区域,当模块不在使用时一起释放。()
在客户/服务器模式工作的大型网络应用中,WindowsXPHome版既适合安装在客户机上,也适合安装在服务器上。
在CorelDRAW中置入的图片,在旋转、镜像等操作后,打印输出会出现错误的是()
A:.PSD.
B:.TIF
C:.JPG
D:.Bitmap
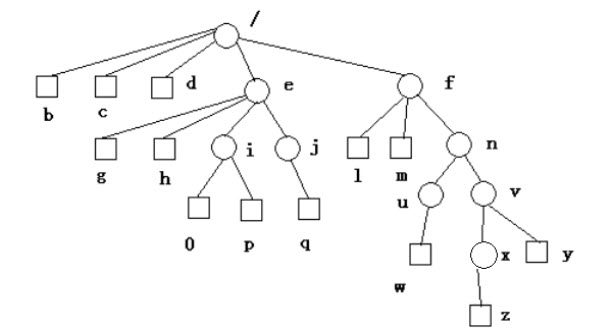
据下图,圆圈代表目录,方框代表文件,当前目录为n,用相对路径法和绝对路径放分别写出文件g、o、z的路径。
机房常用工具应按位置整齐存放使用后及时归还原处交接班时进行点交。非工作需要()携带出机房。
A:一律不得
B:可以
C:登记后可以
D:一般不可以
在对圆弧执行[拉伸]命令时,()在拉伸过程中不改变。
A:弦高
B:圆弧
C:圆心位置
D:终止角度
工厂(包括厂名和厂长名)需建立一个管理数据库存储以下信息: (1)一个工厂内有多个车间,每个车间有车间号、车间主任姓名、地址和电话。 (2)一个车间有多个工人,每个工人有职工号、姓名、年龄、性别和工种。 (3)一个车间生产多种产品,产品有产品号和价格。 (4)一个车间生产多种零件,一个零件也可能为多个车间制造。零件有零件号、重量和价格。 (5)一个产品由多种零件组成,一种零件也可装配出多种产品。 试:给出相应的关系模式。
部分译码
下列有关主键的叙述错误的是()。
A:不同记录的主键值允许重复
B:主键是数据表中的某一个字段
C:不同表中的主键可以是相同的字段
D:表中的主键的数据类型可以定义为自动编号或文本
在SQL语言中,SELECT语句显示结果集的前15条记录应使用()。
A:TOP 15
B:15
C:TOP<15
D:FIRST 15
指定移动文字的循环延时的HTML代码是()
A:
...
B:
...
C:
...
D:
> ...
掷一个骰子,任一面朝上这一事件的发生都是等概分布的,任一面朝上这一事件所获得的自信息量是()。
A:1/6
B:2/6
C:-log2(1/6)
D:-log2(2/6)
现在学校应用较多的计算机学籍管理系统,按计算机应用分类,应属于()
A:实时控制
B:科学计算
C:计算机辅助工程
D:数据处理
首页
<上一页
1614
1615
1616
1617
1618
下一页>
尾页