自考题库
首页
所有科目
自考历年真题
考试分类
关于本站
游客
账号设置
退出登录
注册
登录
出自:基础考试
按照第三强度理论,图示两种应力状态的危险程度是:()
A:A.更危险
B:B.更危险
C:两者相同
D:无法判断
坐标正算中,下列何项表达了横坐标增量?()
A:△X
AB
=D
AB
·cosa
AB
B:△Y
AB
=D
AB
·sina
AB
C:△Y
AB
=D·sina
BA
D:△X
AB
=D·cosa
BA
图示梁弯矩图中,|M|
max
之值为:()
A:3qa
2
/2
B:1.2qa
2
C:1.6qa
2
D:qa
2
图示由1、2、3、4、5管段组成的管路系统,总的水头损失应为()。
A:A
B:B
C:C
D:D
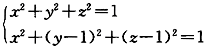
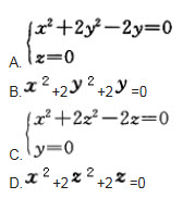
空间曲线
在xOy面上的投影曲线方程为()。
A:A
B:B
C:C
D:D
用夹剪剪直径3mm的钢丝(如图所示),设钢丝的剪切强度极限τ。=100MPa,剪子销钉的剪切许用应力为[τ]=90MPa,要求剪断钢丝,销钉满足剪切强度条件,则销钉的最小直径应为:()
A:3.5mm
B:1.8mm
C:2.7mm
D:1.4mm
一半径为r的圆盘以匀角速w在半径为R的圆形曲面上作纯滚动(如图所示),则圆盘边缘上图示M点加速度a
m
的大小为:()
A:A
B:B
C:C
D:D
已知某一元弱酸的浓度为0.010mol/L,pH=4.55,则其电离常数K
a
为:()
A:5.8×10
-2
B:9.8×10
-3
C:8.6×10
-7
D:7.9×10
-8
图示某半开的阀门,阀门前后测压管水头差△h=1m水柱,管径不变,管中平均流速v=2m/s,则该阀门的局部阻力系数ξ为:()
A:4.9
B:6.1
C:3.4
D:4.2
Windows98操作系统是()。
A:单用户多任务系统
B:单用户单任务系统
C:多用户单任务系统
D:多用户多任务系统
利用比重瓶法测试土粒比重的方法适用于()的土。
A:粒径小于5mm
B:粒径大于5mm且粒径大于20mm的颗粒含量小于10%
C:粒径大于5mm且粒径大于20mm的颗粒含量大于10%
D:粒径大于5mm
为防止或减轻砌体房屋顶层墙体的裂缝.可采取下列哪些措施?()Ⅰ.屋面设置保温、隔热层Ⅱ.屋面保温或屋面刚性面层设置分隔缝Ⅲ.顶层屋面板下设置现浇钢筋混凝土圈梁Ⅳ.女儿墙设置构造柱
A:Ⅰ、Ⅱ、Ⅲ
B:Ⅰ、Ⅱ、Ⅲ、Ⅳ
C:Ⅰ、Ⅱ、Ⅳ
D:Ⅰ、Ⅲ、Ⅳ
将1L
2
mol/L氨水和1L
2
mol/L盐酸溶液混合,混合后OH
-
离子浓度为:()
A:1mol/L
B:2mol/L
C:8.0×10
-6
mol/L
D:1.8×10
-5
mol/L
突然扩大管如图示,已知v
1
=4m/s,v
2
=1m/s,若按
则局部阻力系数ξ=()。
A:0.563
B:0.938
C:9.0
D:8.0
水由图示喷嘴射出,流量Q=0.4m
3
/s,喷嘴出口流速v
2
=50.93m/s,喷嘴前粗管断面流速v
1
=3.18m/s,总压力P
1
=162.33kN,喷嘴所受到的反力大小R
x
为:()
A:143.23kN
B:110.5kN
C:121.41kN
D:150.52kN
建筑施工放样测量的主要任务是将图纸上设计的建筑物(构筑物)的位置测设到实地上。需要测设的是建筑物(构筑物)的下列哪一项?()
A:平面
B:相对尺寸
C:高程
D:平面和高程
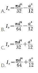
图示空心截面对z轴的惯性矩I
z
为:()
A:A
B:B
C:C
D:D
轻型动力触探试验的连续贯入深度一般<4m,重型动力触探试验的测试深度<16m。
图示两桁架结构杆AB的内力分别记为N
1
和N
2
。则两者关系为:()
A:N
1
>N
2
B:N
1
C:N
1
=N
2
D:N
1
=-N
2
按《岩土工程勘察规范》(GB50021-2001),对下列崩塌区的建筑适宜性评价,按崩塌规模和处理难易程度分类,以下()项是正确的。
A:Ⅰ类崩塌区可用为建筑场地
B:Ⅰ类崩塌区各类线路均可通过
C:Ⅱ类崩塌区建筑场地线路工程通过应采取相应处理措施
D:Ⅲ类崩塌区采取加固防护措施也不能作为建筑场地
细颗粒的土体在压实时应充分洒水。
某企业价值工程工作人员对某产品分析,计算得到4个部件的价值系数如表所示,应选择作为价值工程分析对象的部件是:()
A:甲
B:乙
C:丙
D:丁
矩形截面拉杆两端受线性荷载作用,最大线荷载为q(N/m),中间开一深为a的缺口(如图所示),则其最大拉应力为:()
A:A
B:B
C:C
D:D
三向等侧压条件下的岩石试件不会发生破坏。
价层电子构型为4d
10
5s
1
的元素在周期表中属于:()
A:第四周期ⅦB族
B:第五周期IB族
C:第六周期ⅦB族
D:镧系元素
图示梁,采用加副梁的方法提高承载能力,若主梁和副梁材料相同,截面尺寸相同,则副梁的最佳长度有四种答案:()
A:l/3
B:l/4
C:l/5
D:l/5
图5-6-12受载梁,截面C左、右两侧的内力有四种答案:()
A:N、V、M均不相同
B:N、V相同,M不同
C:N、V不同,M相同
D:N、V、M均相同
M点高程H
M
=43.251m,测得后视读数a=1.000m,前视读数b=2.283m。则视线高H
i
和待求点N的高程分别为:()
A:45.534m,43.251m
B:40.968m,38.685m
C:44.251m,41.968m
D:42.251m,39.968m
土工合成材料渗透系数检测中,对试验用水的要求是()
A:任何水均可
B:无杂质脱气水
C:无杂质脱气水或蒸馏水
D:蒸馏水
均质细杆AB=L,其B端搁置在光滑水平面上,杆由图示位置无初速地自由倒下,试分析质心C的运动()。
A:质心C沿曲线向右下方运动
B:质心C沿曲线向左下方运动
C:质心C沿铅直向下运动
D:质心C沿斜直线向右下方运动
首页
<上一页
14
15
16
17
18
下一页>
尾页