自考题库
首页
所有科目
自考历年真题
考试分类
关于本站
游客
账号设置
退出登录
注册
登录
出自:电气工程公共基础
渗流是指流体在()中的流动。
A:集水廊道
B:地下河道
C:盲沟
D:多孔介质
数制是人们对数量计算的一种统计规则,在数字系统中,广泛采用的是()。
A:二进制
B:八进制
C:十进制
D:十六进制
理想光学系统
如图所示,重为Q的物块紧靠铅直墙上,并在水平力P作用下成平衡。物块与接触面间的静滑动摩擦系数为f,则物块所受的摩擦力应为()。
A:fQ
B:fP
C:P
D:Q
设α={1,1,1},β={1,2,0},则下列结论中哪一个正确?()
A:α与β平行
B:α与β垂直
C:α·β=3
D:α×β={2,-1,-1}
模数转换器的主要技术指标_________、_________、_________、_________。
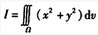
设Ω为曲面x2+y2=2z及平面z=2所围成的空间闭区域,则三重积分
的值是().
A:4/3π
B:8/3π
C:16/3π
D:32/3π
重为W的人乘电梯铅垂上升,当电梯加速上升、匀速上升及减速上升时,人对地板的压力分别为这p1、p2、p3,它们之间的大小关系为()。
A:p1=p2=p3
B:p1>p2>p3
C:p123
D:p12>p3
离心式泵与风机在定转速下运行时,为了避免启动电流过大,通常在()。
A:阀门稍稍开启的情况下启动
B:阀门半开的情况下启动
C:阀门全关的情况下启动
D:阀门全开的情况下启动
傅里叶变化光谱术
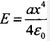
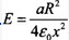
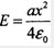
在半径为R的球体内,电荷分布是球对称的,电荷体密度为ρ=ar(0≤r≤R),ρ=0(r>R),其中a为大于0的常数,在球体内部,距球心为x处的电场强度为()。
A:
B:
C:
D:
变压器的噪音主要是变压器的空载噪音.( )
特征谱线
采用热套法把轴承套在轴径上,应先将轴承放在变压器油中加热0.5h左右,加热油温为()℃。
A:80~100;
B:150~200;
C:45~55;
D:500。
集成DAC常采用哪两种类型()。
A:直接比较型
B:间接比较型
C:倒T型电阻网络
D:权电流网络
避雷线和避雷针的作用是防止_________;避雷器既可用来防护_________过电压,也可用来防护_________过电压。
铝绕组的引线一般采用()与套管的导电杆连接。
A:铝板
B:铜板
C:铜铝过渡板
D:钢板
方程(x2+y)dx+(x-2y)dy=0的通解是().
A:
B:
C:
D:
采用滚杠搬运重物时,滚杠数量对拖拉力有什么影响?
变压器运行时基本铜耗可视为(),基本铁耗可视为()。
三相三绕组电压互感器的铁心应采用()。
A:双框式
B:三相五柱式
C:三相壳式
D:三相柱式
要使得二次型为正定的,则t的取值条件是()。
A:-1
B:-1
C:t>0
D:t<-1
断路器额定电压指( )。
A:断路器正常工作电压
B:正常工作相电压
C:正常工作线电压有效值
D:正常工作线电压最大值
泵空载时,Q=0,对应的()。
A:轴功率P=0
B:有效功率Pe=0
C:容积损失功率ΔPv=0
D:机械损失功率ΔPm=0
当球间距不大于球半径时,常用的测量球隙是典型的( )电场间隙
A:均匀
B:稍不均匀
C:不均匀
D:极不均匀
以下
不属于
存储管理的是()。
A:存储单元的释放
B:存储分配
C:地址变换
D:存储保护与存储扩充
某一放大电路在负载开路时的输出电压为6V,当接入2kΩ的负载后,输出电压为4V,该放大电路的输出电阻是()kΩ。
A:0.5
B:1.5
C:3
D:1
对某故障变压器的油进行色谱分析,其组分是:总烃不高,氢(H2)>100ppm,甲烷(CH4)为总烃中的主要成分。用特征气体法判断属于()故障。
A:一般过热性;
B:严重过热性;
C:局部放电;
D:电弧放电。
计算是一种商业计算模型,它将计算任务分布在大量计算机构成的资源上,使用各种应用系统能够根据需要攻取()。
A:计算力
B:物质回报
C:存储空间
D:信息服务
距离保护是反应_________的距离,并根据距离的远近确定_________的一种保护。
首页
<上一页
14
15
16
17
18
下一页>
尾页