自考题库
首页
所有科目
自考历年真题
考试分类
关于本站
游客
账号设置
退出登录
注册
登录
出自:经济学
全面质量管理的统计分析方法中,巴雷特图法指的是()。
A:排列图
B:控制图
C:相关图
D:因果分析图
随着位于龙口的国内首个海下采煤工作面的建成,中国成为世界第()个实现海底采煤的国家。
A:3
B:4
C:5
D:6
按照马克思的设想,共产主义高级阶段与低级阶段的唯一差别是()
A:所有制结构
B:生产的社会化程度
C:分配原则
D:计划与市场的关系
下列哪项关于财务评价原则的表述是错误的()。
A:以国家利益为主
B:以技术先进性为核心原则
C:必须采用行业或部门颁布的评价参数
D:所比较的方案必须满足可比性要求
大城市地区
双轨制具有很强的过渡性,并不是最优的制度安排。
工程经济分析的核心原则是()。
A:可行性原则
B:差异化原则
C:经济效益原则
D:不确定性原则
需求曲线从()导出。
A:价格一消费曲线;
B:收入一消费曲线;
C:无差异曲线D预算线
卫生服务领域中政府与市场机制如何结合?
根据C-D函数的设定,边际产量在总产量达到最大值时的取值为()。
A:不大于0
B:小于0
C:等于0
D:大于0
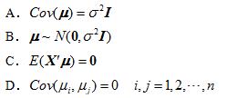
下列选项中,对线性回归模型基本假设表述
不正确
的是()。
A:A
B:B
C:C
D:D
农产品即时供给弹性()短期供给弹性,短期供给弹性()长期供给弹性。
水资源指具有经济利用价值的自然水,主要指()
A:淡水
B:降水
C:地表水
D:地下水
我国现阶段的劳动密集型产业()
A:有利于发挥我国人力资源丰富的优势
B:有利于发挥我国劳动力成本低的优势
C:在国际竞争中有独特优势
D:劳动生产率较高
E:可以适当加以发展
利率和收入的组合点位于IS曲线右上方时,反映产品市场上供过于求。
如果垄断厂商的边际收益小于边际成本大于平均成本,则厂商多销售一单位产品,()。
A:收益增加,利润增加
B:收益增加,利润减少
C:收益减少,利润增加
D:收益减少,利润减少
正确的是下列哪项:()
A:如果模型的R
2
很高,我们可以认为此模型的质量较好
B:如果模型的R
2
较低,我们可以认为此模型的质量较差
C:如果某一参数不能通过显著性检验,我们应该剔除该解释变量
D:如果某一参数不能通过显著性检验,我们不应该随便剔除该解释变量
四部门经济中主要包含下列哪些部门()
A:家庭
B:企业
C:政府
D:外国
E:银行
溢出效应或外部效应是指个人或企业的行为直接影响到其他个人或企业,但其他个人或企业并没有因此而支付成本或得到补偿的情形。
重商主义认为国家制定经济政策的目的是获取金银。
调节国家与企业分配关系的目标是()
A:实行税利分流
B:实行税利合一
C:实行利改税
财政政策失效表现在()。
A:截距为负,斜率小于45。线的斜率
B:截距为负,斜率大于45。线的斜率
C:截距为正,斜率小于45。线的斜率
D:截距为正,,斜率大于45。线的斜率
较高的工作变换成本将导致以下结果除了()
A:单个厂商的劳动力供给曲线向上倾斜
B:一些工人仍留守原来的工作,即使他们在其他厂商从事相同工作能够获得更高的工资
C:厂商将失去某些买主垄断力
D:辞职率对工资变化将不完全做出反映
生产可能性边界以外的点是()。
A:可生产的
B:禀赋点
C:消费均衡点
D:不可抵达的
按经济活动的内容划分,下面
不属于
的是()
A:工业区位
B:农业区位
C:住宅区位
D:中观区位
为了消除物价变动的影响,当采用国内生产总值来比较不同时期国民经济量的变化时要用()。
A:现行价格计算
B:市场价格计算
C:不变价格计算
D:生产价格计算
费里德曼认为凯恩斯主义的互换前提错误,因为大家有理性预期。
一般来说,如果一种商品的价格低,则()。
A:需求少
B:需求多
C:需求量一定
D:无需求
招聘评估的作用?
应该怎样评价布朗对中国农业的悲观预测?
首页
<上一页
1549
1550
1551
1552
1553
下一页>
尾页