自考题库
首页
所有科目
自考历年真题
考试分类
关于本站
游客
账号设置
退出登录
注册
登录
出自:计算机科学
抑制特征(Suppress Feature)有哪些用途?
建立一个计算机网络需要网络硬件设备和()
A:拓扑结构
B:资源子网
C:网络软件系统
D:网络管理员
在ShArePoint站点的主页,单击右边【添加新链接】按钮,打开的页面是()
A:列表视图
B:文档
C:新建项目表单
D:讨论板
一个演示文稿放映过程中,终止放映需要按键盘上的()
A:Esc键
B:Ctrl+X键
C:Ctrl+S
D:Ait+X键
通常有()这几种红外传输方式。
A:多播
B:点对点
C:组播
D:广播
现在我们使用的计算机属于第五代计算机。
执行段间返回RET指令时,从堆栈中()。
A:先弹出断点的偏移地址,再弹出段地址
B:先弹出断点的段地址,再弹出偏移地址
C:弹出断点的偏移地址
D:弹出断点的段地址
完成SDH设备光纤与线路光缆对接的是()。
A:DDF
B:传输综合架
C:ODF(光纤配线架)
D:SDH传输盒
在非空二叉树的i层上至多有2i个结点(i≥0)。
确保系统的安全性采取的措施,
不正确
的是()。
A:及时清理账户
B:设定密码策略
C:重命名管理员账户
D:启用Guest账户
以下
不属于
网络中使用的主要交换技术是()。
A:电路交换
B:分组交换
C:信元中继交换
D:无线交换
一维对象指针数组的每个元素应该是某个类的对象的地址值。
Excel2000中的工作表是()维表格
A:一
B:二
C:三
D:都不是
计算机蠕虫病毒具有下列哪项特征()。
A:在用户无任何干预或不知情的情况下传播到新的计算机
B:通过附加在软件代码上而感染计算机
C:当软件在计算机上运行时执行
D:隐藏在潜伏状态下,等待攻击者的需要
简述Dreamweaver的工作窗口由哪些部分组成。
安装施工前的准备工作很多,主要做好哪几项工作?
您要添加一张新的幻灯片,但尚不确定要在此幻灯片上仅添加文本还是图形,亦或同时添加这两者。您应该选择哪种幻灯片版式?()
A:“仅标题”。
B:“标题和内容”。
C:“标题和文本”。
二维条码将条形码的信息空间从一维扩展到二维,可以从()方向获取信息。
A:水平
B:垂直
C:产品
分析比较负整数在符号加绝对值、二进制反码、二进制补码三种表示法中的异同。
指令的寻址方式有顺序和跳跃两种方式,采用跳跃寻址方式,可以实现()或()。
死锁是指两个或两个以上的进程在执行过程中,由于竞争资源或者由于彼此通信而造成的一种阻塞的现象。
在25℃下, UPS的蓄电池组由32节单体蓄电池组成(单体标称电压为12V),则其浮充电电压应约为()
A:384V
B:432V
C:450V
D:472V
8253-5工作于方式5,用BCD码计数,用1号计数器先读低8位后读高8位,则控制字为()。
A:01111100B
B:01111010B
C:01111111B
D:01111011B
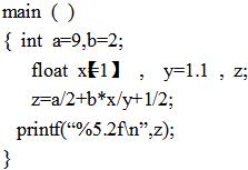
下列程序的输出结果是16.00,请填(1)空使程序完整。
层的属性设置中,影响将来层中内容显示大小的选项有()。
A:可见性
B:溢出
C:剪辑
D:Z轴
网络控制策略控制用户通过平台认证后,能够访问IP地址和端口。可通过静态或动态分配ACL控制网络路由来实现()
A:ACL
B:UDP
C:TCP
D:IP
在Internet上,大学或教育机构的类别域名中一般包括()
A:edu
B:com
C:gov
D:org
什么是帧并帧动画?
UPS的蓄电池应经()接到UPS内部的直流环节上。
A:断路器
B:接触器
C:熔断器
D:静态开关
在下列几种常用的视频信号中,最基本的视频信号是()
A:RGB
B:YUV
C:Y/C
D:复合视频信号
首页
<上一页
1544
1545
1546
1547
1548
下一页>
尾页