自考题库
首页
所有科目
自考历年真题
考试分类
关于本站
游客
账号设置
退出登录
注册
登录
出自:海船船员证
第一类海水水质标准要求pH值为(),同时不超出该海域正常变动范围的()单位。
根据我国《水上安全监督行政处罚规定》,执法人员对船舶给予的()可运用简单程序,当场作出处罚决定。
A:扣留证书或处以50元以下的罚款
B:扣留证书或处以1000元以下的罚款
C:警告或处以50元以下的罚款
D:警告或处以1000元以下的罚款
Lube oil in the fresh water cooling system of a diesel engine may result from a ()
A:camshaft seizure
B:lube oil pump failure
C:lube oil cooler failure
D:lube oil pump overflow
驾驶员通过操纵舵轮纠正航向,这实际上是使用舵机的()。
A:自动操舵系统
B:随动操舵系统
C:应急操舵系统
D:太平舵
关于镉-镍蓄电池的保养,下列说法错误的是()。
A:不需要对电解液进行更换
B:充电时若温度超过标准值,应加少量的氢氧化锂
C:保存时不能让金属物将外壳与负极接触
D:多充电对蓄电池无害,少充电则对蓄电池不利
《中华人民共和国船员违法记分管理办法》规定,对船员无正当理由逾期不参加强制培训和考试的处理是()
A:劝其同时降低航区、等级和职务,可领回证书
B:可再次强制参加专业评估,合格后方可领回证书
C:按照证书载明的航区、等级、职务重新参加适任考试,合格后方可领回证书
D:强制其对事故进行分析,确实取得教训,获专家认可后方可领回证书
船舶机舱失火后,下列做法
不正确
的是()。
A:关闭通往火场的燃油进出阀
B:用水枪冷却可能蔓延到的油箱、油柜、气瓶
C:必要时,将油柜内的燃油泄放出去,以防爆炸
D:控制通风
颜色不变,在一个周期内明的时间长于暗的时间的灯光灯质为()。
A:明暗光
B:联闪光
C:混合联闪光
D:长闪光
The crankshafts on the large modern 2-stroke crosshead engines are ()big ()makes as a single unit and so are constructed by joining together individual forgings.
A:enough;to
B:too;to
C:such;so
D:so;that
为每艘船舶配备合格、持证并健康的船员应由()保证。
A:船长
B:管事
C:船员公司
D:船公司
可用于柴油机功率计算的示功图有()。 I.p-V示功图 II.p-V转角示功图 III.梳形示功图 IV.手拉示功图 V.p-f展开示功图 VI.弱弹簧示功图
A:I+III
B:II+VI
C:I+V
D:IV+VI
船舶必须具备在一定的风浪作用下不至于倾覆的性能,该性能是指船舶的()。
A:浮性
B:稳性
C:抗沉性
D:B+C
All the expenses are()the ship’s account.
A:of
B:for
C:to
D:at
When general cargo with different amounts in each draft is involved,the checker must use the ().
A:unit method
B:block method
C:straight method
D:package method
气温年较差最大的地区是()
A:渤海
B:黄海
C:东海
D:南海
Late fuel oil injection in a diesel engine can result in ()
A:fuel knock
B:increased power
C:low compression pressure
D:high exhaust temperature
Your radar displays your ship off center.As you proceed on your course, your ship’s marker moves on the PPI scope while echoes from land masses remain stationary.What is this display called().
A:Off center
B:True motion
C:Stabilized
D:Head up
海事局在办理船舶进出口岸手续时所查验的各种证书,关键是要把住()关。
A:疫情
B:人员出入境证件
C:船舶适航
D:船员适任
对于动力装置成本昂贵、构造复杂、耐用的设备或零部件的平均寿命用()表示,它的含义是指()。
A:MTBF/两次故障之间的时间平均值
B:MTTF/从开始使用到发生故障的平均工作时间
C:MTBF/从开始使用到发生故障的平均工作时间
D:MTTF/两次故障之间时间的平均值
在一般情况下,如果出租人与承租人未在合同中,规定出租人保证船舶适航的义务,则().
A:出租人关于保证船舶适航的义务是绝对的
B:出租人关于保证船舶适航的义务由出租人决定
C:出租人关于保证船舶适航的义务由承租人决定
D:以上均不正确
下列()情况,值班驾驶员应立即通知机舱备车,并报告船长。
A:能见度不良或恶劣天气时
B:进入狭水道或邻近来往船舶频繁的海区时
C:抵达目的港或有其它紧急情况时
D:以上均是
Fire and abandon ship stations and duties may be found on the().
A:crewman's duty list
B:Certificate of Inspection
C:shipping articles
D:muster list
操纵性指数K小,则说明船舶().
A:旋回半径小;
B:旋回角速度小;
C:从转舵到稳定旋回角速度的时间小;
D:以上都是。
借助浸在水中的永久性硬结构,完全或部分地保持气垫的双体气垫船、侧壁气垫船称()
A:气垫船;
B:滑行船;
C:全垫升气垫船;
D:水面效应船。
两物标距离定位时,两圆弧位置线交于两点,其中()是观测船位。
A:离物标较近的一点
B:离物标较近的一点
C:靠近推算船位的一点
D:离危险物较近的一点
下列有关高空、舷外作业安全注意事项哪项是错误的()?
A:船体摇晃明显,航行中禁止舷外作业
B:值班驾驶员对本班人员的高空或舷外作业安全负有责任
C:船体摇晃明显时,如无特殊需要,禁止高空作业
D:船体摇晃明显时,无论何种情况,都禁止高空作业
船级社对营运船舶保持船级的监督检验除年度检验、坞内检验、特别检验之外,还包括()。 Ⅰ.螺旋桨轴或艉轴的检验; Ⅱ.锅炉和热油加热器的检验; Ⅲ.有关的替代检验; Ⅳ.定期检验。
A:Ⅰ+Ⅱ
B:Ⅰ~Ⅲ
C:Ⅰ~Ⅳ
D:Ⅰ+Ⅱ+Ⅳ
如将喷油泵凸轮逆凸轮轴正车方向旋转一角度,则将使该喷油泵()。
A:供油提前角增大
B:供油提前角减小
C:供油量减小
D:定时与供油量均不变
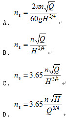
我国将离心泵的比转数ns定为()。(式中:H为单级扬程,Q为单级流量)
A:A
B:B
C:C
D:D
船舶向西航行进入相邻时区,应将船钟拨()。
A:快1h
B:快2h
C:慢1h
D:不变
首页
<上一页
1513
1514
1515
1516
1517
下一页>
尾页