自考题库
首页
所有科目
自考历年真题
考试分类
关于本站
游客
账号设置
退出登录
注册
登录
出自:基础考试
曲线x=t-sint,y=1-cost,z=4sin
在点
处的切向量为()
A:(-1,1,
)
B:(1,-1,
)
C:(1,1,
)
D:(1,1,
)
岩体变形试验的压力变形曲线的类型有()
A:直线型
B:上凹型
C:下凹型
D:长尾型
E:陡坎型
在OF
2
分子中,氧原子成键的杂化轨道是下列中哪种杂化轨道?()
A:sp
3
杂化
B:sp杂化
C:sp
2
杂化
D:sp
3
不等性杂化
图示电路中,电容的初始能量为0,设开关S在t=0时刻闭合,此时电路发生过渡过程,那么,该过渡过程进程的时间常数为()。
A:τ=(R
1
+R
2
)C
B:τ=(R
1
//R
2
)C
C:τ=R
2
C
D:与电路的外加激励U有关
为使AgCl沉淀溶解,可采用的方法是加入下列中的哪种溶液?()
A:HCl溶液
B:AgNO
3
溶液
C:NaCl溶液
D:浓氨水
如图所示电路中,已知U
s
=10V,R
1
=3kΩ,R
2
=20kΩ,R
3
=1kΩ,L=1H,电路原已稳定,在开关S断开的瞬间,电阻R
2
上的电压u(0+)最接近于()V。
A:-50
B:0
C:10
D:50
建筑物施工速度较快、地基土的透水性和排水条件较差时,可采用()测定土体的抗剪强度。
A:三轴固结不排水试验
B:三轴固结排水试验
C:三轴不固结不排水试验
D:直剪慢剪试验
E:直剪快剪试验
某温度下,化学反应2NO(g)+O
2
(g)=2NO
2
(g)达平衡,下列说法中正确的()。
A:反应物已消耗完
B:不再有产物生成
C:正逆反应速率相等
D:反应已停止
建筑施工测量的基本任务是将图纸上设计的建筑物、构筑物的()测设到实地上。
A:平面位置
B:高程
C:平面位置和高程
D:坐标
高层建筑竖向投测的精度要求随结构形式、施工方法和高度不同而异,其投测方法一般采用下列中的哪几种方法?()Ⅰ.经纬仪投测法Ⅱ.光学垂准仪法Ⅲ.极坐标法Ⅳ.前方交会法Ⅴ.激光准直仪法Ⅵ.水准仪高程传递法
A:Ⅰ、Ⅱ、Ⅳ
B:I、Ⅲ、Ⅴ
C:Ⅱ、Ⅲ、Ⅴ
D:Ⅲ、Ⅴ、Ⅵ
如图3所示,S
1
、S
2
为两相干波源,它们的振动方向均垂直于图面并发出波长为λ的简谐波,P点是两列波相遇区域中的一点,已知
两列波在P点发生干涉相消,若S
2
的振动方程为y
2
=Acos(2πt-0.1π),则S
1
的振动方程为()。
A:
B:
C:
D:
在土的压缩曲线上,对应于横坐标上的压力荷载指的是()。
A:土层的自重应力
B:土层的附加应力
C:土层的孔隙水压力
D:土层中的有效应力
图示结构各杆线刚度i相同,角α≠0,用力矩分配法计算时,力矩分配系数,μ
ab
应为:()
A:1/8
B:3/10
C:4/11
D:1/3
过点A(1,1,-1),B(-2,-2,2)和C(1,-1,2)三点的平面方程为()。
A:x-3y-2z=0
B:x+3y-2z-6=0
C:x-3y+2z+4=0
D:x+3y+2z-2=0
换土垫层能提高垫层下卧层的承载力。
“理想气体和单一热源接触做等温膨胀时,吸收的热量全部用来对外做功。”对此说法,有如下几种讨论,哪种是正确的:()
A:不违反热力学第一定律,但违反热力学第二定律
B:不违反热力学第二定律,但违反热力学第一定律
C:不违反热力学第一定律,也不违反热力学第二定律
D:违反热力学第一定律,也违反热力学第二定律
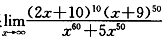
极限
=()
A:2
10
B:10
10
C:0
D:∞
在速率区间v~v+dv内的分子数密度为()。
A:A
B:B
C:C
D:D
两摩擦轮如图所示。则两轮的角速度与半径关系的表达式为:()
A:A
B:B
C:C
D:D
对同一建筑物的基础和地基,临塑荷载Pcr、设计承载力P1/4、极限荷载Pu三者之间的大小关系为()
A:Pcr>P1/4>Pu
B:P1/4>Pcr>Pu
C:Pcr>Pu>P1/4
D:Pu>P1/4>Pcr
在进行预应力混凝土构件设计时,计算由温差引起的预应力损失σ
13
,此处的温度△t是指()。
A:钢筋与混凝土之间的温度
B:钢筋与混凝土产生粘结力后,钢筋与承拉设备之间的温度
C:张拉钢筋时,钢筋与承拉设备之间的温度
D:混凝土蒸汽养护时,钢筋与承拉设备之间的温差
若2.8g非挥发性溶质溶解于100g水中,该溶液的沸点为100.51℃,则此溶液的分子量(K=1.864℃·吨·mol
-1
)为()。
A:14
B:36
C:42
D:28
同一张地形图上等高距是相等的,则地形图上陡坡的等高线是:()
A:汇合的
B:密集的
C:相交的
D:稀疏的
标准电极电势是:()
A:电极相对于标准氢电极的电极电势
B:在标准状态下,电极相对于标准氢电极的电极电势
C:在任何条件下,可以直接使用的电极电势
D:与物质的性质无关的电极电势
Internet网使用的协议是()。
A:Token
B:X.25/X.75
C:CSMA/CD
D:TCP/IP
两端受扭转力偶矩作用的实心圆轴,不发生屈服的最大许可荷载为M
0
,若将其横截面面积增加1倍,则最大许可荷载为:( )
A:A
B:B
C:C
D:D
设直线L1:4x+y-4=0,L2:2x-8y+15=0,
为曲线C://y=
上的一点,则()
A:L1是L2曲线C在点M0处的切线,是曲线C在点M处的法线
B:L2是曲线C在点M0处的切线,是L1曲线C在点M处的法线
C:L1与L2平行
D:L1与L2的夹角为
一个三角形观测了三个内角,已知每个内角的测角中误差为m=±2″,则三角形角度闭合差的中误差为()。
A:±2″
B:±6″
C:
D:
若正反应的活化能E
a1
大于逆反应的活化能E
a2
,则正反应的热效应ΔH为()。
A:ΔH>0
B:ΔH<0
C:ΔH=(E
a1
-E
a2
)/2
D:不能确定
以下关于计算机网络特征的描述中,错误的是()。
A:计算机网络建立的主要目的是实现计算机资源的共享
B:网络用户可以调用网中多台计算机共同完成某项任务
C:联网计算机既可以联网工作也可以脱网工作
D:联网计算机必须使用统一的操作系统
首页
<上一页
13
14
15
16
17
下一页>
尾页