自考题库
首页
所有科目
自考历年真题
考试分类
关于本站
游客
账号设置
退出登录
注册
登录
出自:电气工程公共基础
为什么白天看大楼有时感到关闭的窗户明亮刺眼,而通过打开的窗户看房间里却是黑洞洞?
用直接负载法做变压器的温升试验适应于()变压器
A:小型
B:大型
C:中型
D:其他
引风机所输送气体的密度ρ改变后,若其它工作条件均不变,则此引风机的主要性能参数值qv、p、P的变化规律为()
A:qv、p、P均随之发生变化
B:qv、p、P均不变
C:qv不变,p、P变化
D:qv、p不变,P变
卷积运算有两种效应,一种是展宽,还有一种就是被卷函数经过卷积运算,其细微结构在一定程度上被消除,函数本身的起伏振荡变得平缓圆滑,这种效应是()
A:锐化
B:平滑化
C:其它
绳子跨过滑轮O,A端挂重为P的人,B端挂着重为P的物块。轮重不计。系统开始静止。当此人相对绳子以速度u向上爬绳时,物块B和人A相对地面的速度应为()。
A:
B:
C:
D:
质量评价体系属于ITSS标准的哪个系列()。
A:基础标准系列
B:运维标准系列
C:服务管理标准系列
D:外包标准系列
一个完整的计算机系统包括()。
A:主机、键盘、显示器
B:计算机及其外部设备
C:系统软件和应用软件
D:计算机硬件系统和计算机软件系统
在直流稳态电路中,电阻、电感、电容元件上的电压与电流大小相等时,其电阻分别为()。
A:R,0,0
B:0,0,∞
C:R,∞,0
D:R,0,∞
下面哪一项不是发布管理过程的目标()。
A:评估软件变更的影响
B:与变更管理协调软件发布的具体内容
C:为在组织内分发软件变更而设计和实施有效的规程
D:防止组织软件病毒进入组织的IT系统
10kV配电变压器油中带电裸零件到接地部件的净距离为()mm。
A:20;
B:30;
C:25;
D:50。
空间滤波系统
图示电路在t=0s时刻和t=2s时刻出现两次换路,那么如下描绘电感电流iL变化规律的波形是()。
A:
B:
C:
D:
变压器的负载损耗要校正到参考温度下,那么油浸变压器的参考温度是()。
A:75℃
B:100℃
C:85℃
D:120℃
下列四种泵中,相对流量最高的是()。
A:离心泵;
B:轴流泵;
C:齿轮泵;
D:螺杆泵。
在图示电路中,若t=0时刻开关s从1→2,则下列
不正确
的说法是()。
A:电路出现暂态过程
B:电路不出现暂态过程
C:电路发生换路
D:uC(0+)=uCC(∞)
关于行政许可申请材料,下列说法正确的是()。
A:行政机关不得要求申请人提交与其申请的行政许可事项无关的技术资料和其他材料
B:行政机关可以根据申请人的要求对公示内容予以说明、解释,提供准确、可靠的信息
C:行政机关应当对申请材料实质内容的真实性负责
D:行政机关应当将法律、法规和规范性文件规定的有关行政许可需要提交的全部材料的目录和申请书示范文本等在办公场所公示
为避免高电压试验变压器的输出波形失真,应尽量选择使试验变压器运行在铁心磁化的较饱和段。()
组合逻辑电路的竞争-冒险是由于()引起的。
A:电路不是最简
B:电路有多个输出
C:电路中存在延迟
D:电路使用不同的门电路
边缘扩散函数
改变()值,不会改变555构成的多谐振荡器电路的振荡频率。
A:电源VCC
B:电阻R1
C:电阻R2
D:电容C
如图6-12所示,等直径管,考虑损失,A-A断面为过流断面,B-B断面为水平面1、2、3、4各点的物理量有以下关系()。
A:p3=p4
B:p1=p2
A/D转换器按照转换速度由高到低可分为哪三种类型()。
A:并行比较型
B:逐次比较型
C:双积分型
D:间接比较型
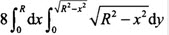
两个圆柱体x2+y2≤R2,x2+22≤R2公共部分的体积V为()。
A:
B:
C:
D:
若
,则f(x)等于()。
A:sinx
B:cosx
C:
D:
油浸式变压器的绝缘电阻随介质温度的上升而()。
A:增大
B:不便
C:减小
D:无关
变压器空载运行时,电源输入的功率只是无功功率。
如图所示,均质杆OA,重为P,长为l,可在铅直平面内绕水平固定轴O转动。杆在图示铅直位置时静止,欲使杆转到水平位置,则至少要给杆以角速度ω为()。
A:
B:
C:
D:
手提照明灯不准用作()V的普通电灯。
A:220
B:36
C:18
D:6
若一平面简谐波的波动方程为y=Acos(Bt-Cx),式中A、B、C为正值恒量,则()。
A:波速为C
B:周期为
C:波长为
D:圆频率为
试述变压器真空干燥的过程。如何判断干燥结束?
首页
<上一页
13
14
15
16
17
下一页>
尾页