自考题库
首页
所有科目
自考历年真题
考试分类
关于本站
游客
账号设置
退出登录
注册
登录
出自:注册环保工程师专业基础
在流量一定时,渠道断面的形状,尺寸和壁面一定时,随底坡坡度增加,正常水深将()。
A:增加
B:减少
C:不变
D:不确定
微生物变异的物质基础是()。
A:多糖
B:磷脂双分子层
C:蛋白质
D:核酸
废水处理中的二级处理工艺的目的是()。
A:去除废水中的颗粒状有机物,减轻后续生物处理的负担
B:调节水质、水量、水温等,保证后续生物处理的顺利进行
C:大量去除胶体状和溶解状有机物,保证出水达标排放
D:脱氮、除磷
欧拉运动微分方程是理想流体()。
A:牛顿第一定律表达式
B:牛顿第二定律表达式
C:牛顿第三定律表达式
D:动量定律表达式
在放线菌发育过程中,吸收水分和营养的器官为()。
根据流动空间不同可将射流分为()。
A:淹没射流和非淹没射流
B:自由射流和受限射流
C:网形射流和条缝射流
D:对称射流和非对称射流
下列工作属于实验室内质量控制工作内容的是()。
A:平行样分析
B:加样分析
C:采样点优化
D:校核标准溶液
水处理中活性污泥中的细菌采()时期的细胞。
对微生物的概念,以下最正确、最完整的叙述是()。
A:微生物是一类个体微小、结构简单,必须借助显微镜才能观察清楚的生物。
B:微生物是一类结构简单,具有单细胞结构,必须借助显微镜才能观察清楚其结构的生物。
C:微生物是一类个体微小、结构简单,具有单细胞结构,必须借助显微镜才能观察清楚其结构的最低等生物。
D:微生物是一类个体微小、结构简单,具有单细胞、简单多细胞结构或非细胞结构,必须借助显微镜才能观察清楚其结构的最低等的生物
厌氧消化法好氧处理方法相比,其微生物群落上的特点是()。
A:有专性厌氧菌和兼性厌氧菌及有专性厌氧的产甲烷菌等组成
B:有少数厌氧或兼性厌氧的游泳型纤毛虫,如钟虫
C:主要由好氧微生物和厌氧微生物组成
D:微生物只能悬浮生长而不能固着生长
在这四个选项中,只有()具有线粒体结构。
A:大肠杆菌
B:立克次氏体
C:蓝藻
D:酵母菌
在无能量输入的流动中,理想流体总水头线沿程变化()。
A:沿程下降
B:沿程上升
C:保持水平
D:以上情况都有可能
活性污泥的组成
不包括
()。
A:微生物
B:泥沙
C:有机污染物
D:噬菌体
建设项目的环境影响报告书,必须对建设项目产生的污染和对()作出评价,规定防治措施,经项目主管部门预审并依照规定的程序上报环境保护行政主管部门批准。
A:环境的影响
B:人类健康的影响
C:人类生活的影响
D:生产的影响
关于环境空气监测因子说法正确的是()。
A:凡项目排放的污染物属于常规污染物的应筛选为监测因子
B:凡项目排放的特征污染物只有国家标准时才可选为监测因子
C:凡项目排放的特征污染物只有地方标准时才可选为监测因子
D:对于没有相应环境质量标准的污染物,无论是否属于毒性较大的污染物,均可不考虑作为监测因子
普通活性污泥曝气池中的MLSS为3900mg/L,SVI为90mL/g,则污泥沉降比SV为()。
A:29.6%
B:35.1%
C:38.3%
D:36.8%
省级以上人民政府可以依法划定()水源保护区。
A:工业用水
B:农业用水
C:生活饮用水地表水
D:畜牧业用水
下列哪项工程必须实行监理()。
A:工厂
B:公用事业工程
C:国际组织贷款工程
D:住宅小区
自然界碳循环过程中,哪类微生物参与有机碳转化为CO
2
的过程()。
A:原生动物
B:自养微生物
C:异养微生物
D:后生动物
某填埋场总面积为5.0hm
2
,分三个区进行填埋。目前已有两个区填埋完毕,其面积为A
2
=3.0hm
2
,浸出系数C
2
=0.5。另有一个区正在进行填埋施工,填埋面积为A
1
=2.0hm
2
,浸出系数C
1
=0.2。当地的年平均降雨量为3.3mm/d,最大月降雨量的日换算值为6.5mm/d。求污水处理设施的处理能力()。
A:55m
3
/d
B:95m
3
/d
C:150m
3
/d
D:200m
3
/d
根据《地下水质量标准》,下列叙述错误的是()。
A:Ⅱ类地下水适用于各种用途
B:各地地下水监测部门,应在不同质量类别的地下水水域设立监测点进行水质监测,监测频率不得少于每年2次(平、枯水期)
C:利用污水灌溉必须经过环境地质可行性论证和环境影响评价,征得环境保护部门批准后方能施行
D:Ⅳ类地下水不宜饮用
下面关于除尘器说法
不正确
的是()。
A:惯性除尘器适于捕捉10~20μm以上的粗尘粒
B:电除尘器对细粉尘捕集效率可高于99%
C:袋式除尘器的工作原理是过滤
D:旋风洗涤器适用于处理烟气量小和含尘浓度低的场合
关于环境空气监测布点说法正确的是()。
A:一级评价项目,监测点应包括评价范围内有代表性的环境空气保护目标,点位不少于8个
B:三级评价项目,若评价范围内无例行监测点位,应设置2~4个监测点
C:三级评价项目,若评价范围内无例行监测点位,应设置1~3个监测点
D:二级评价项目,监测点应包括评价范围内有代表性的环境空气保护目标,监测点的数目依保护目标的多少而确定
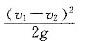
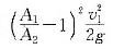
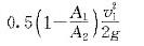
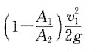
如图所示网管突扩局部阻力为()。
A:
B:
C:
D:
革兰氏阳性菌细胞壁的主要成份为()。
TSP的空气动力学当量直径为()。
A:0~10μm
B:0~50μm
C:0~100μm
D:10~100μm
超音速一元等熵气流在渐扩管道中随截面积增大,压力p()。
A:减小
B:增大
C:不变
D:不确定
对于后弯式叶轮β<90°时,理论流量曲线是()。
A:一条水平直线
B:一条向上直线
C:一条向下直线
D:一条向下凹的二次曲线
影响燃料过程的主要因素
不包括
()。
A:温度条件
B:空气供给量
C:燃料与空气的混合条件
D:废气排放
随着机动车船数量的增加,机动车船排放的废气成为大气污染的又一大来源。以下为防治机动车船污染而采取的措施不当的是()。
A:单位和个人应当按照国务院规定的期限,停止生产、进口和销售含铅汽油
B:任何单位和个人不得制造、销售或者进口污染物排放超过规定排放标准的机动车船
C:在用机动车不符合使用当时的在用机动车污染物排放标准的,不得上路行驶
D:机动车维修单位,应当按照防治大气污染的要求的国家有关技术规范进行维修,时在使用机动车达到规定的污染物排放标准
首页
<上一页
13
14
15
16
17
下一页>
尾页