自考题库
首页
所有科目
自考历年真题
考试分类
关于本站
游客
账号设置
退出登录
注册
登录
出自:计算机科学
在“打印”对话框中可以设置()。
A:打印的范围
B:打印的内容
C:打印的份数
D:打印机类型
要实现使BETA的值为56,应采用语句为()
A:BETADB56
B:BETADB56H
C:BETAEQU56
D:BETAEQU56H
打开IE浏览器后,页面自动加载的是()。
A:百度首页
B:新浪首页
C:搜狐首页
D:IE中设定的主页
多个线程操作同一资源的时候需要注意同步,依靠()实现,实现手段是:同步代码块和同步方法,过多的使用,则会出现死锁问题。
基于语音技术的检索
()报文是以广播的形式发送的
A:DHCP Release
B:DHCP Request
C:DHCP Offer
D:DHCP Ack
什么是输入输出接口?
在Windows中,若要恢复回收站中的文件,在选定待恢复的文件后,应选择文件菜单中()命令。
A:还原
B:清空回收站
C:删除
D:关闭
Flash的都包含哪些应用领域?
()和()能够划分()。
Android中控件的android:text属性的作用是()
A:显示视频
B:显示图片
C:显示文本字符串
D:显示音乐
下列可以实现曲面加厚的命令是()。
A:
B:
C:
D:
简述载波侦听多路访问/冲突检测(CAMA/CD)的工作原理。
右击执行()命令,即可以将素材的视频和音频分离。
CRT显示器就是我们通常所说的()。
A:液晶显示器
B:阴极射线管显示器
C:平板显示器
D:等离子显示器
计算机中常用的英文单词Byte的中文意思是()
A:位
B:字
C:字长
D:字节
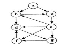
画出下图所示有向图的所有强连通分量。
位图的特点()(1)由许多像素组成(2)用计算机指令表达(3)从扫描仪、数码相机获取(4)随意缩放且不改变图像清晰度(5)随意缩放且图像变得粗造
A:(1)、(3)、(5)
B:(1)、(3)
C:(2)、(4)
D:(1)、(2)、(4)
Print"10+6=";10+6的输出结果是()。
A:16=10+6
B:10+6=10+6
C:10+6=16
D:"10+6="10+6
以下用鼠标选定的方法,正确的是()。
A:若要选定一个段落,则把鼠标放在该段落上,连续击三下
B:若要选定一篇文档,则把鼠标指针放在选定区,双击
C:选定一列时,Alt+鼠标指针拖动
D:选定一行时,把鼠标指针放在该行中,双击
已设置了“密码”的文件,如果忘记了口令,可以删除该口令。
单击“进入资源管理器”按钮,打开N盘“样式.psd”文件,该文件文字图层的图层样式是()
A:投影
B:外发光
C:内发光
D:外阴影
向8259A发送“中断结束”命令有什么作用?8259A有哪几种中断结束方式?分析各自的利弊。
对于用户,什么最重要()。
A:操作
B:数据
C:权限
D:应用
对某一类数据的结构、联系和约束的描述是型的描述,型的描述称为()模式。
A:记录
B:字段
C:表
D:数据
ISO9000是由ISO/TC176制定的关于()和质量保证的国际标准。
A:质量控制
B:质量管理
C:质量策划
D:质量改进
除选择“文件/新建”命令外,还可按()键新建文件。
A:Ctrl+A
B:Ctrl+C
C:Ctrl+N
D:Ctrl+P
X.25分组级功能:
使用Word制作电子板报时,若需将版面设置为横排版式,应选择“文件”菜单中的()命令。
A:保存
B:页面设置
C:新建
D:打开
驱动程序的作用让操作()硬件。
首页
<上一页
1487
1488
1489
1490
1491
下一页>
尾页