自考题库
首页
所有科目
自考历年真题
考试分类
关于本站
游客
账号设置
退出登录
注册
登录
出自:计算机科学
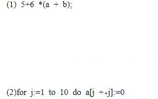
写出下列表达式的三地址形式的中间表示。
研究系统,意味着从事物的总体与全局,从要素联系与结合上,去研究事物的运动与发展,找出其固有的规律,建立正常的秩序,实现整个系统的优化。这正是系统工程的要旨。
解释css sprites如何使用?
简述信源输出值受限的最大连续熵定理。
DMA方式一般用于高速传送成组数据。
在表单内可以包含的各类控件中,下拉类表框的缺省名称为()。
A:Combo
B:Command
C:Check
D:Caption
()图形是基于几何学的,是对点、线、形体和它们之间的相对位置的描述。
下面对于cookie对象使用正确的是()
A:.
B:
C:
D:
不经调制的原始数据信号称为()
硬盘接口是影响硬盘性能的重要因素,是用来与CPU进行数据交换的,以下不是硬盘接口的选项是()。
A:IDE接口
B:SCSI接口
C:COM接口
D:Ultra DMA接口
OLTPON口(CLASSC+)发送光功率不低于()dbm。
A:2.5
B:0.5
C:1.5
D:3
堆栈是内存中一个专用区域,其存取规则是()
某集线器的端口如图所示,据图可知,此集线器的端口数为()
A:16
B:17
C:18
D:21
core标记库主要的标记有()
A:通用标记;流程控制标记;URL标记
B:选择标记;循环标记
C:sql标记;xml标记;FN标记
D:以上都是
Const Two#=2,则Two为()类型的常数。
A:整型
B:长整型
C:双精度型
D:单精度型
excel 2010中只能用“套用表格格式”设置表格样式,不能设置单个单元格样式。
关闭计算机电源后,CMOS中存储的数据会丢失。
网络传输图像的常用格式是()。
A:PSD
B:GIF
C:BMP
D:TIF
PowerPoint2003提供了多种不同的视图,各种视图的切换可以用水平滚动条上视图切换工具栏的3个按钮来实现。这3个按钮分别是()。
A:普通视图、幻灯片浏览视图、幻灯片放映视图
B:普通视图、幻灯片浏览视图、幻灯片编辑视图
C:普通视图、幻灯片浏览视图、幻灯片版式
D:普通视图、幻灯片查看视图、幻灯片编辑视图
编写程序,把一个30个元素的有符号字数组ARRAY按照各元素的正负分别送入数组P和M,正数和零元素送P数组,负数送M数组。
下面哪个工具可以减少图象的饱和度?()
A:加深工具
B:减淡工具
C:海绵工具
D:任何一个在选项调板中有饱和度滑块的绘图工具
所有的UG文件都以“prt”为扩展名。
单击()→“首字下沉”,打开“首字下沉”对话框。
A:格式
B:插入
C:视图
D:工具
CuteFTP是一种基于()的数据交换软件。
Word的功能主要是()。
A:文字处理、可图文并茂
B:电子表格及数据库处理
C:制作多媒体幻灯片
D:只能处理图形图像
访问者模式包括的两个层次结构,分别是()
A:访问者层次结构
B:元素层次结构
C:对象层结构
D:类层结构
关于网格工具描述
不正确
的是()
A:执行“对象”/“创建渐变网格”命令。可以创建简便网格。
B:执行“对象”/“路径”/“偏移路径”命令,可把网格对象转回路径。
C:“网格工具”中的网格点不可以删除。
D:“网格工具”是Illustrator CS4中具有独特填充效果的渐变变填充工具。
下列关于实体联系模型中联系的说法,错误的是()。
A:一个联系可以只与一个实体有关
B:一个联系可以与两个实体有关
C:一个联系可以与多个实体有关
D:一个联系也可以不与任何实体有关
在进行文档的修订时,很难区分修订前的内容和修订后的内容,OfficeWord2007增强的比较文档功能,可以更加直观的浏览文档修订前、后的不同.请问如何调用比较功能?()
A:页面布局-比较
B:审阅-比较
C:引用-比较
D:插入-比较
简述ListBox控件的items属性的编程方法。
首页
<上一页
1477
1478
1479
1480
1481
下一页>
尾页