自考题库
首页
所有科目
自考历年真题
考试分类
关于本站
游客
账号设置
退出登录
注册
登录
出自:计算机科学
IEEE802.15.4标准具有的特点是()。
A:低速率
B:低功率
C:远距离传输
下列关于红外触摸屏的叙述,正确的是()。 (1)红外触摸屏在屏幕表面需加涂层或控制器 (2)外界光线变化会影响红外触摸屏的精确度 (3)红外触摸屏必须用手等导电物体触摸 (4)红外触摸屏不需要触压就可以触发
A:(1)(3)
B:(2)(4)
C:(1)(2)(3)
D:全部
对主机而言,USB软件应由哪几部分组成?
()能够有效的营造氛围,帮助观众理解故事情节的发展,其造型风格应该与其他风格保持一致。
A:场景
B:角色
C:动物
D:人物
64K*1位的DRAM芯片通常有()条地址线引脚。
A:16
B:8
C:1
D:4
在新建Solidworks文件对话框中,新建文件类型有()种。
A:3
B:2
C:1
写出3个能够实现关机的命令。
自信处理过程可分若干个阶段,其第一阶段的活动是()
A:信息的收集
B:信息的加工
C:信息的存储
D:信息的传递
按拓扑结构类型分类的拓扑结构主要有
编辑演示文稿时,要在幻灯片中插入表格、剪贴画或照片等图形,应在()中进行。
A:备注页视图
B:幻灯片浏览视图
C:幻灯片窗格
D:大刚窗格
设N是一个四位数,它的9倍恰好是其反序数(例如:123的反序数是321),编程,输出所有满足条件的N。
在SQL中,对嵌套查询的处理原则是()。
A:从外层向内层处理
B:从内层向外层处理
C:内,外层同时处理
D:内,外层交替处理
如果想要应用了透明的黑色也能在输出时产生叠印效果,我们可以?()
A:将黑色对象设为叠印填充
B:将透明度操作改为减少
C:将透明度操作改为乘
D:将透明度操作改为添加
在"Access数据库设计"窗口中,可以进行的操作有() ①创建数据表 ②建立表间关系 ③删除数据表 ④删除数据表中的一条记录
A:①②④
B:②③④
C:①②③
D:①③④
数据流图包含的成分有()。
A:关系、实体和属性
B:数据流、加工和数据存储
C:数据流、数据源和数据实体
D:数据流、属性、数据存储和加工
若8259A的中断屏蔽字为00H,则8259A所管理的8级中断全被屏蔽。()
配线架与墙面板端口,配线架与集线器,连接工作站的跳接线长度分别不超过()。
A:90米
B:105米
C:6米
D:3米
下面不可能感染计算机病毒的做法是()。
A:拷贝别人U盘上的一个文件
B:把自己的一个文件拷贝给别人
C:把有毒的U盘插入到未开机的计算机
D:打开了一个陌生人的邮件
如果一个图层组的混合模式为“屏幕”,其中包括5个混合模式为“强光”的图层,则在执行“合并图层组”操作后得到的图层的混合模式是下列()。
A:屏幕
B:强光
C:正常
D:柔光
8086和8088是怎样解决地址线和数据线的复用问题的?
GIF中最多包含多少种颜色?()
A:128
B:216
C:256
D:512
行为实质就是网页上的一段用于实现访问者与WEB页进行交换的()代码。
在布局的时候必须考虑到各模块之间的电源路径以及电流回流的地网络路径。
8259A可编程中断控制器的中断服务寄存器ISR用于()
A:记忆正在处理中的中断
B:存放从外设来的中断请求信号
C:允许向CPU发中断请求
D:禁止向CPU发中断请求
()的动漫风格为超级写实主义、高度商业主义与高科技主义。
A:苏联
B:法国
C:美国
D:比利时
用串操作指令编程:先将100个字节数从数据段2270H开始处搬到附加段1000H开始处,然后从中检索等于AL中字符的单元,并将此单元换成空格符。
东汉时期张衡提出了(),体现了我国古代思想中的朴素的系统思想。
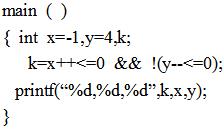
下述程序的输出结果是()。
A:0,0,3
B:0,1,2
C:1,0,3
D:1,1,2
路由表中不包含()。
A:目的IP地址
B:下一个路由地址
C:网络接口地址
D:TCP端口号
自动注册搜索引擎(以“登录奇兵”为例)
首页
<上一页
1435
1436
1437
1438
1439
下一页>
尾页