出自:初级中学教师资格证

江西赣州市教育局于2006年暑假前夕下发通知,明确要求:任何小学和初中都不得以考试方式选拔新生。可在该市的某县县城的几所学校,初一新生进行考试在当地成了一个公开的秘密。赣州市教育局出台文件明确提到,要“叫停”学校里的快慢班、重点班、尖子班、提高班、实验班、特长班、兴趣班等。可在该市的部分县城中学,却在初一新生的招生简章中明确标明了要分重点班。



第1题,共4个问题
(单选题)案例中,部分县城中学划分重点班,违反了( )。
A:《中华人民共和国学位条例》
B:《中华人民共和国未成年人保护法》
C:《中华人民共和国义务教育法》
D:《中华人民共和国教师法》

第2题,共4个问题
(多选题)下列符合新《义务教育法》规定的是( )。
A:义务教育不收学费杂费
B:适龄儿童、少年免试入学
C:国家鼓励教科书循环使用
D:国家实行教科书审定制度

第3题,共4个问题
(多选题)义务教育阶段利用考试选拔新生、开设重点班,有违( )。
A:教育公平
B:教育民主
C:教育现代化
D:教育终身化

第4题,共4个问题
(单选题)“学校分设重点班和非重点班,情节严重的,对直接负责的主管人员和其他直接责任人员依法给予处分。”这种处分主要是指( )处分。
A:行政
B:民事
C:刑事
D:违宪
分析现代教学手段的优点。
巴赫是晚期巴洛克音乐的杰出代表,他的去世标志着巴洛克音乐的终结。同属于巴洛克音乐的代表人物是()。
A:海顿
B:莫扎特
C:贝多芬
D:亨德尔
“社会模仿模式”所用的德育的主要方法是“榜样法”。
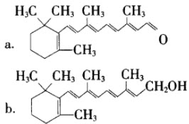
人们已进入网络时代,常观看显示屏会使人感到眼睛疲劳,甚至会对眼睛产生一定的伤害。人眼中的视色素里含有视黄醛(见图a),作为辅基的蛋白质,而与视黄醛相似结构的维生素A(见图b)常作为保健药物。 从结构上看,维生素A与视黄醛的关系是()。
A:同分异构体
B:同系物
C:维生素A是视黄醛的还原产物
D:维生素A是视黄醛的氧化产物
教师在工作中具备的角色有()。
A:学习的指导者和促进者
B:行为规范的示范者
C:心理辅导员
D:班集体活动的领导者
E:教育科研人员
根据学习的层次,比概念学习低一层的是()。
A:信号学习
B:规则学习
C:辨别学习
D:言语学习
中共中央总书记、国家主席胡锦涛2008年2月10日作出重要指示,要求部队在前一段积极投身抢险救灾斗争的基础上,继续支持受灾地区搞好恢复重建,为夺取抗灾救灾全面胜利作出更大贡献。广大官兵在参加抗击雨雪冰冻的抢险救灾同时,还积极开展医疗救助、扶贫帮困和爱心捐助活动。这体现了中华民族()
A:团结统一的精神
B:爱好和平的精神
C:爱国主义精神
D:勤劳勇敢、自强不息的精神
中国共产党曾发表社论称赞美国是“资本主义世界最典型的民主国”,和苏联并为“民主世界的双璧”。该社论发表的背景是()
A:罗斯福新政成功实施
B:世界反法西斯同盟间的相互支持与配合
C:中美关系的正常化
D:中国实行改革开放
宋代以后,作为教学的基本教材和科举考试依据的是_____。
为应对如此集中的出行高峰,交通运输、铁路部门虽然全力以对,但瑕疵难免。中国交通管理部门仍需要顶着巨大的压力前行,改进工作中的不足。下列措施中有助于缓解交通拥堵的是()①中国交管部门加强社会管理,建立跨省协调联动机制,共同应对突发事件②中国交管部门落实政治职能,加强宏观调控,采取综合性措施保障高效通畅③中国交管部门以人为本,切实加强安全监管、科学组织运输、提供优质服务④中国交管部门行使立法权,制定应对突发客流的应急预案,防患于未然
A:①②
B:①③
C:①④
D:③④
潜在课程不属于课程的范畴。( )
目前,我国的师资培养模式是开放型的。
班级管理是一种有目的的活动,它的根本目的是__________,使学生得到充分、全面的发展。
某市政府启动“春风行动”,召开专场招聘会,为大学生提供就业服务。如果请你为政府更好地开展“春风行动”提出建议,你的观点应包括①学习知识,发展技能,增强就业竞争力②深入企业收集用工信息,提供政策支持③统筹安排大学生就业④开展各种形式的劳动技能培训和就业指导()
A:②④
B:①②
C:③④
D:①③
以下哪项是以直接感知为主的体育教学方法?()
A:讲解法
B:问答法
C:讨论法
D:演示法
美国心理学家布鲁纳认为学习的实质在于()。
A:构造一种完形
B:主动地形成认知结构
C:形成刺激与反应间的联结
D:对环境条件的认知
有一段时期,《人民日报》连续发表“人有多大胆,地有多大产”和“小麦亩产12万斤”“一棵白菜500斤”等文章。这种现象最可能发生在()
A:过渡时期
B:“大跃进”与人民公社化时期
C:文革时期
D:全面建设社会主义新时期
简述思想品德课程的设计思路。
2013年12月13日闭幕的中央城镇化工作会议强调,要优化布局,根据资源环境承载能力构建科学合理的城镇化宏观布局,把城市群作为主体形态,促进大中小城市和小城镇合理分工、功能互补、协同发展。从思想方法看,“优化布局”()①体现用综合的思维方法来解决问题②应在立足整体的前提下选择最佳方案③就是要用共性的认识指导具体做法④要坚持在绝对不相容的对立中思维
A:①②
B:①④
C:②③
D:③④
2013年12月23日至28日,十二届全国人大常委会第六次会议在京举行。12月27日,十二届全国人大常委会第六次会议在人民大会堂举行联组会议,结合审议国务院关于农村扶贫开发工作情况的报告进行专题询问。全国人大常委会开展专题询问()①体现了人大对政府的监督权②扩大了全国人大常委会的职权③表明政府与人大共同行使行政权④有助于推动中央重大决策部署的落实
A:②③
B:①④
C:①③
D:②④
简述脚内侧踢定位球的技术要点。
有“黄金水道”之称的河流是()
A:京杭运河
B:珠江
C:黄河
D:长江
一小球自地面上方某高度处自由下落,测得小球在最后1s内的位移是35m,不计空气阻力,g取10m/s2,则()
A:小球从释放到落地的时间为5s
B:小球从释放到落地的时间为4s
C:小球释放点距地面的高度为125m
D:小球到达地面时速度为50m/s
世界著名的文学评论家雷纳·韦勒克在评论某文学流派时说:“就诗歌观来说是想象,就世界观来说是自然,就诗体风格来说是象征与神话。”雷纳·韦勒克所评论的是哪一文学流派()
A:新古典主义
B:浪漫主义
C:现实主义
D:现代主义
俄罗斯的工业特点是()
A:轻重工业都比较发达
B:以消费品制造业为主
C:以重工业为主
D:轻重工业都比较落后
据国家发改委价格监测中心监测,近日食用油开始了新一轮的涨价,其中福临门大豆油、调和油、菜籽油等油品的涨幅在10%到15%;猪牛羊肉、禽蛋价格也出现明显的上涨趋势。针对物价明显上涨的现象,国家有关部门应该()。 ①尊重价值规律,充分认识和利用价值规律 ②根据市场供求变化,以市场为导向进行生产经营 ③加强宏观调控,稳定物价 ④改进技术,改善经营管理,以价格优势扩大市场占有率
A:①②
B:②④
C:①③
D:③④
20世纪60年代,新加坡和韩国为发展经济采取的相同的措施有①适时调整经济发展战略②发展外向型经济③大力引进外国资本和技术④积极参与国际竞争()
A:①②③
B:②③④
C:①③④
D:①②③④
人生由两条路汇聚而成,一条用心走,叫梦想;一条用脚走,叫现实。心走得太快,现实会苍白;脚走得太慢,梦不会高飞。因此,要实现精彩人生必须()
A:正确把握理想与现实的关系
B:在个人和社会的统一中实现价值
C:努力寻找正确的人生价值观
D:作出正确的价值选择和价值判断
教师对学生的热爱,从内容上看,在较低层次上,是指教师对学生的()
A:亲近感
B:理解感
C:尊重感
D:期待感