自考题库
首页
所有科目
自考历年真题
考试分类
关于本站
游客
账号设置
退出登录
注册
登录
出自:质量、投资、进度控制
在编制工程预算时,一般采用的是()。
A:综合单价法
B:工料单价法
C:工料实物法
D:综合实物法
在工程网络计划工期优化过程中,当出现两条独立的关键线路时,在考虑对质量和安全影响差别不大的基础上,应选择的压缩对象是分别在这两条关键线路上的两项()的工作组合。
A:直接费用率之和最小
B:资源强度之和最小
C:持续时间总和最大
D:间接费用率之和最小
为确保成套设备项目各设备的设计制造质量,应针对项目所需设备的特点,选用一批适用的国家和专业技术标准,制定项目专用技术规范,作为对各分供商的基本()要求。
A:设计
B:技术
C:质量
D:项目
设备监理工程师在设备工程设计与采购阶段的主要任务包括()。
A:协助业主进行设备设计与制造的一揽子招标
B:在项目设计中,对设计方案进行技术经济分析
C:审查设备工程设计概算与预算
D:对设计变更进行控制
E:对已完工程进行计量
在下图所示的全寿命费用曲线图中,Ⅲ是()阶段。
A:规划
B:设计
C:刚造
D:安装
涨价预备费一般是根据国家规定的投资综合价格指数,以估算年份价格水平的()为基数,采用得利计算。
A:收益额
B:投资额
C:现金额
D:账面额
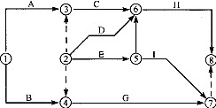
某分部工程双代号网络图如图所示,其作图错误表现为()。
A:有多个起点节点
B:有多个终点节点
C:节点编号有误
D:存在循环回路
E:有多余虚工作
格式条款又被称为()。
A:标准条款
B:正式条款
C:强制条款
D:附加条款
在世界银行《设备供应和安装合同条件》下,如果承包商依据合同提议变更,应向业主方项目经理提交一份“变更建议书”。“变更建议书”的内容包括()。
A:变更的简要描述
B:对竣工时间的影响
C:估计的变更成本
D:对功能保证的影响(如果有的话)
E:对合同开工日期的影响
不属于
设备工程设计准备工作的是()。
A:提供建设项目规划设计条件
B:提供实际基础资料
C:完成工程的总体方案设计
D:选定设计单位,签订设计合同
设备安装调试单位进度计划包括()。
A:设备安装和调试总进度计划
B:工艺装置施工进度计划
C:动用前准备工作计划
D:生产进度计划
E:材料和外协零配件的采购计划
当n→∞时,年金现值系数等于()。
A:(1+i)
n
-1/i(1+i)
n
B:i
C:1/i
D:i(1+i)
n
/(1+i)
n
-1
要管理与设备质量有关的关键质量要素,如性能、适用性、安全性、可信性等。目标要明确而具体,反映顾客(业主)的需要,同时体现先进性、创造性和()性。
A:持续
B:可行
C:循环
D:环保
设备制造实施过程质量管理通常采取现场检查、()、测量试验等方法,对关键工序进行跟踪监理,发现质量问题及时发放监理通知,以保证工程质量。
A:巡站监理
B:即时抽检
C:专业监理
D:旁站监理
制定融资方案、进行经济评价、编制初步设计概算的依据是()。
A:项目实施进度
B:场址选择
C:投资估算
D:技术方案、设备方案和工程方案
设备制造过程中的进度管理工作内容
不包括
()。
A:分析进度偏差将带来的影响并进行工程进度预测,从而提出可行的修改措施,重新调整进度计划并付诸实施
B:定期向业主汇报设备制造实际进展状况,按期提供必要的进度报告
C:及时检查和审核设备制造单位提交的进度统计分析资料和进度控制报表
D:审核设备制造单位的劳动力、材料、机具设备及资金的供应计划能否保证进度计划的实现
关于承包商提出的工期延长和工期延误的索赔,以下说法正确的是()。
A:由于业主的原因导致工期延长和延误时,承包商只能提出延长工期的要求
B:由于业主的原因导致工期延长和延误时,承包商可以提出延长工期和补偿损失的要求
C:由于不可抗力所造成的工期延长和延误时,承包商只能提出延长工期的要求
D:由于业主雇用的其他承包商的原因导致工期延长和延误时,承包商只能提出延长工期的要求
图所示的单代号网络图中,关键线路上的工作包括()。
A:工作1
B:工作2
C:工作5
D:工作6
E:工作7
影响进度的不利因素中,()是最常见和最重要的影响因素。
A:人为因素
B:政府影响
C:社会影响
D:不可抗力影响
某项目进口一批工艺设备,其银行财务费为4.25万元,进口代理手续费为18.9万元,关税税率为20%,增值税税率为17%,抵岸价为1792.19万元。该批设备无消费税、海关监管手续费,则该批进口设备的到岸价格(CIF)为()万元。
A:747.19
B:1260
C:1291.27
D:1045
当采用匀速进展横道图比较法比较工作实际进度与计划进度时,如果表示工作实际进度的横道线右端点落在检查日期的左侧,则检查日期与该横道线右端点的差距表示()。
A:进度超前的时间
B:超额完成的任务量
C:进度拖后的时间
D:尚待完成的任务量
按照索赔的主体,可以将索赔分为()。
A:承包商索赔
B:合同规定的索赔
C:业主索赔
D:非合同规定的索赔
E:工期、费用索赔
引起费用偏差的原因是业主原因的是()。
A:投资规划不当
B:设计错误或缺陷
C:手续不健全
D:组织设计不合理
E:协调不佳
下图所示的网络搭接关系为()。
A:开始-完成关系
B:完成-开始关系
C:开始-开始关系
D:完成-完成关系
设备工程()计划要根据设备工程设计总进度计划和设计的具体工作与顺序,规划各项设计工作的开始与结束时间以及每项工作的搭接时间。
A:设计总进度
B:设计准备工作
C:初步设计进度
D:技术设计进度
设备监理工程师在设备制造阶段的主要任务包括()等。
A:协助业主编制资金使用计划,并进行费用偏差分析
B:处理合同变更
C:审查与签发付款证书并办理结算
D:处理合同索赔
E:对已完工程进行计量
在费用优化时,首先应缩短()关键工作的持续时间。
A:持续时间最长
B:费用率最小
C:直接费最少
D:间接费最少
设备工程监理工作进度计划的内容有()。
A:设备工程监理工作进度目标分解
B:设备工程详细进度计划的审核
C:进度管理的主要工作内容和深度
D:设备工程监理人员进度管理职责分工
E:进度目标实现的风险分析
计算进口设备关税的基数是()。
A:装运港船上交货价
B:运费在内价
C:关税完税价格
D:运费保险费在内价+外贸手续费
搭接关系FTS表示()。
A:开始-开始关系
B:开始-完成关系
C:完成-开始关系
D:完成-完成关系
首页
<上一页
12
13
14
15
16
下一页>
尾页