自考题库
首页
所有科目
自考历年真题
考试分类
关于本站
游客
账号设置
退出登录
注册
登录
出自:资产评估相关知识
资产按照预计从其持续使用和最终处置中所产生的未来净现金流入量的折现金额计量,其会计计量属性是()。
A:历史成本
B:可变现净值
C:现值
D:公允价值
甲与乙签订借款合同,并约定由乙将自己的钻戒出质给甲,但其后乙并未将钻戒如约交付给甲,而是把该钻戒卖给了丙。丙取得钻戒后,与甲因该钻戒权利归属发生纠纷。根据《物权法》与《合同法》的规定,下列关于该钻戒权利归属的表述中,正确的是( )。
A:丙不能取得该钻戒的所有权,因为该钻戒已质押给甲
B:丙能取得该钻戒的所有权,但甲可依其质权向丙追偿
C:丙能取得该钻戒的所有权,甲不能向丙要求返还该钻戒
D:丙能否取得该钻戒的所有权,取决于甲同意与否
下列有关无形资产会计处理的表述中,正确的有()。
A:无形资产后续支出应在发生时计入当期损益
B:企业自用无形资产的摊销价值,应计入当期损益
C:不能为企业带来经济利益的无形资产摊余价值,应全部转入当期营业外支出
D:无形资产的成本应当自取得当月起在预计使用年限内分期平均摊销,处置无形资产的当月不再摊销
E:已计入各期损益的研究开发费用,在相关技术依法申请取得专利权时,不得转回计入专利权的入账价值
如果企业发出存货的会计政策发生变更,则下列指标中,受到影响的有()。
A:存货周转率
B:资产负债率
C:净资产收益率
D:主营业务利润率
E:现金流动负债比率
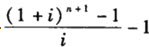
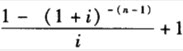
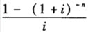
以下表示的是普通年金现值系数的是()。
A:
B:
C:
D:
A股份有限公司是深交所的一家上市公司(以下称A公司)。2008年10月间,A公司开始在上交所购买B股份有限公司(以下称B公司)的股票,至同年12月15日,已经持有B公司已发行股份的4.96%。次日,A公司再次买进B公司股票1000多万股,持有了B公司已发行股份的16.8%。当日收市后,A公司即向中国证监会、上交所报告了持有B公司股票的情况,并通知了B公司,进行了公告。A公司在公告中还称,不排除进一步增持B公司股份,达到控股B公司的目标。B公司董事会对A公司持有该公司股票的合法性提出强烈的质疑,并声称将采取反收购措施,包括大量买进本公司股票,抬高其价位,以便大幅提高B公司的收购成本,使之望而却步。
第1题,共1个问题
(简答题)(1)根据我国《证券法》的规定,A公司可以采取哪些方式收购B公司?B公司是否可以采取其所称的反收购措施,为什么? (2)A公司是否遵守了持股披露原则,为什么? (3)假设A公司依法收购,那么,当A公司持有B公司股份占B公司已发行股份的30%将产生什么法律后果?
根据《物权法》规定,拾得遗失物的处理规则
不包括
()。
A:拾得人应当及时通知权利人领取,或者送交公安等有关部门
B:遗失人发出悬赏广告,愿意支付一定报酬的,不得反悔
C:招领公告期限内无人认领的,遗失物可以归拾得人所有
D:拾得人拒不返还遗失物,按侵权行为处理
2010年7月1日,A、B两公司签订了一份价值100万元的货物买卖合同。合同约定:A公司于2010年7月15日向B公司交付全部货物;B公司在验货合格后10日内一次性支付全部货款;任何一方如违约,应向守约方支付违约金10万元。合同订立后,A公司未f按时交付货物。B公司遂起诉至法院,要求A公司继续履行合同,支付10万元违约金,并赔偿经济损失。A公司辩称:没有按时交货是因为当地7月10日发生严重泥石流灾害,道路被冲断,货物无法及时运送;而且,约定的违约金过分高于造成的损失。2011年2月1日,A公司为支付货款,向C公司签发了一张出票后1个月内付款的银行承兑汇票,金额为60万元,承兑人为D银行,出票日期为2月1日。之后,C公司为清偿债务,将汇票背书转让给其债权人E公司,但未记载背书日期。E公司的财务负责人因疏忽遗失了该汇票。张某捡到该汇票后,伪造了E公司的签章,并冒充E公司工作人员将票据背书转让给债权人F公司,F公司对票据伪造的事实毫不知情。2011年3月3日,F公司提示D银行付款,遭到拒绝。次日,F公司取得拒绝证明后,向A公司、C公司、E公司发出追索通知,要求支付汇票金额、相关利息和费用共计61.5万元。A公司以F公司尚未向其直接前手E公司进行追索,且追索金额超过汇票金额为由拒绝支付;C公司以其未记载背书日期而背书无效,且票据上出现伪造背书为由拒绝支付;E公司以票据签章被伪造为由拒绝承担票据责任。
第1题,共2个问题
(简答题)(1)A公司未按时交付货物时,B公司可否行使不安抗辩权?说明理由。 (2)如何认定"违约金过分高于造成的损失"? (3)泥石流灾害发生后,A公司若想免除其违约责任,应采取哪些措施? (4)A公司拒绝持票人F公司的理由是否成立?说明理由。
第2题,共2个问题
(简答题)(1)C公司拒绝持票人F公司的理由是否成立?说明理由。 (2)E公司拒绝持票人F公司的理由是否成立?说明理由。 (3)F公司可否向张某行使追索权?说明理由。
企业的应税所得按照税法规定免予征收企业所得税的收入,下列
不属于
免税收入的是()。
A:国债利息收入
B:股息、红利等权益性投资收益
C:技术转让所得
D:非营利组织的收入
某制药厂为增值税一般纳税人,2014年3月销售免税药品取得价款20000元,销售非免税药品取得不含税价款10000元。当月购进原材料等取得的增值税专用发票(已通过税务机关认证)上的税款合计为3000元,,企业无法划分清楚其用途。该企业本月可以抵扣的进项税额为()元。
A:1000
B:1200
C:1300
D:1500
共有财产难以分割的,可以选择()方法分割。
A:实物分割
B:以物易物
C:折价分割
D:拍卖
E:变卖
A公司2009年7月8日决定建造固定资产,8月18日取得专门借款存入银行,9月17日支付工程款项,10月16日正式动工建造。A公司专门借款利息开始资本化的时间为()。
A:9月17日
B:10月16日
C:8月18日
D:7月8日
下列属于企业法人的有()。
A:有限责任公司
B:股份有限公司
C:公立学校
D:税务局
E:红十字会
自破产程序终结之日起()内,债权人可以请求人民法院按照破产财产分配方案进行追加分配。
A:6个月
B:1年
C:2年
D:3年
下列各项中,属于税收强制执行措施的有()。
A:直接进行罚款
B:书面通知纳税人开户银行从其存款中扣缴税款
C:扣押、查封、拍卖纳税人价值相当于应纳税款的货物,以变卖所得抵缴税款
D:暂停向纳税人发售发票
E:书面通知纳税人开户银行或者其他金融机构暂停支付纳税人的金额相当于应纳税款的存款
甲公司严重资不抵债,因不能清偿到期债务向法院申请破产。下列财产属于债务人财产的是( )。
A:甲公司购买的一批在途货物,但尚未支付货款
B:甲公司从乙公司租用的一台设备
C:甲公司抵押给银行的一处厂房
D:甲公司受乙公司委托有偿保管的一台汽车
按照法律规定,外观设计专利权被授予后,未经专利权人许可,任何单位或者个人不得为生产经营目的()专利权人的外观设计专利产品。
A:制造
B:使用
C:许诺销售
D:销售
E:进口
甲、乙、丙、丁共同投资设立了A有限合伙企业(以下简称A企业)。合伙协议约定:甲、乙为普通合伙人,分别出资10万元;丙、丁为有限合伙人,分别出资15万元;甲执行合伙企业事务,对外代表A企业。2006年A企业发生下列事实: 2月,甲以A企业的名义与B公司签订了一份12万元的买卖合同。乙获知后,认为该买卖合同损害了A企业的利益,且甲的行为违反了A企业内部规定的甲无权单独与第三人签订超过10万元合同的限制,遂要求各合伙人作出决议,撤销甲代表A企业签订合同的资格。 4月,乙、丙分别征得甲的同意后,以自己在A企业中的财产份额出质,为自己向银行借款提供质押担保。丁对上述事项均不知情,乙、丙之间也对质押担保事项互不知情。 8月,丁退伙,并从A企业取得退伙结算财产12万元。 9月,A企业吸收庚作为普通合伙人入伙,庚出资8万元。 10月,A企业的债权人C公司要求A企业偿还6月份所欠款项50万元。 11月,丙因所设个人独资企业发生严重亏损不能清偿D公司到期债务,D公司申请人民法院强制执行丙在A企业中的财产份额用于清偿其债务。人民法院强制执行丙在A企业中的全部财产份额后,甲、乙、庚决定A企业以现有企业组织形式继续经营。 经查:A企业内部约定,甲无权单独与第三人签订超过10万元的合同,B公司与A企业签订买卖合同时,不知A企业该内部约定。合伙协议未对合伙人以财产份额出质事项进行约定。 要求:根据上述材料,分别回答下列问题: 人民法院强制执行丙在A企业中的全部财产份额后,甲、乙、庚决定A企业以现有企业组织形式继续经营是否合法?并说明理由。
中外合资经营企业中,外资投入部分不得低于注册资本()。
A:25%
B:30%
C:35%
D:45%
直辖市人民政府批准的大型基础设施建设项目,涉及农用地转为建设用地的,由()批准。
A:市人民政府
B:国务院
C:国有资产监督管理机构
D:市土地行政管理部门
下列各项,计入财务费用的是()。
A:销售商品发生的现金折扣
B:销售商品发生的销售折让
C:销售商品发生的商业折扣
D:委托代销商品支付的手续费
E:费用化借款利息费用
对商标权人的下列行为,商标局可以撤销其注册商标的有()。
A:自行转让其注册商标的
B:注册商标连续3年停止使用的
C:注册商标有效期届满前未提出续展申请的
D:自行改变注册商标的
E:自行改变注册商标的注册人名义的
P公司有关盈余公积的资料为:"盈余公积--法定盈余公积"科目贷方余额为1000万元、"盈余公积--任意盈余公积"科目贷方余额为200万元。假定P公司注册资本为2000万元,则P公司可以转增资本的最大金额是()万元。
A:1000
B:1200
C:700
D:500
跨年度完成的劳务,采用完工百分比法确认收入的条件有()。
A:合同总收入和总成本能够可靠地计量
B:与交易相关的经济利益能够流入企业
C:劳务所有权上的主要风险和报酬已经转移
D:不再拥有对劳务的继续管理权和控制权
E:劳务的完成程度能够可靠地确定
企业以盈余公积弥补亏损,正确的会计处理是( )。
A:借:利润分配;贷:盈余公积
B:借:利润分配;贷:本年利润
C:借:本年利润;贷:银行存款
D:借:盈余公积;贷:利润分配
根据《企业所得税法》的规定,下列
不属于
免税收入的是()。
A:国债利息收入
B:符合条件的居民企业之间的股息等权益性收益
C:非营利组织的收入
D:小型企业收入
某公司目标资本结构为权益资本与债务资本各占50%,明年将继续保持。已知今年实现税后利润600万元,预计明年需要增加投资资本800万元,假设流通在外普通股为200万股,如果采取剩余股利政策,明年股东可获每股股利为()。
A:1元
B:2元
C:3元
D:5元
以下预算中,不以销售预算为基础的是()。
A:制造费用预算
B:产品成本预算
C:销售费用预算
D:直接人工预算
根据《企业破产法》,关于重整申请人的说法中,正确的是()。
A:进入破产程序前,债务人可以直接向人民法院申请重整
B:人民法院受理破产申请后宣告债务人破产前,破产管理人可以向人民法院申请重整
C:人民法院受理债权人提出的破产申请后宣告债务人破产前,出资额占债务人注册资本5%以上的出资人,可以向人民法院申请重整
D:人民法院受理债权人提出的破产申请后,债务人不能向人民法院申请重整
国有独资公司董事长和副董事长的产生方式是()。
A:有公司职工从董事会成员中选举产生
B:有董事会成员选举产生
C:向社会公开招聘
D:由国有资产监督管理机构从董事会成员中指定
首页
<上一页
12
13
14
15
16
下一页>
尾页