自考题库
首页
所有科目
自考历年真题
考试分类
关于本站
游客
账号设置
退出登录
注册
登录
出自:计算机科学
当需要在Flash中计算圆形面积的时候,假设变量d的值为圆的直径,下列选项中正确的计算表达式为()。
A:Math.PI*d*d/4
B:Math.E*d*d
C:3*d*d/2
D:Math.SQRT2*(d/2)*(d/2)
替换时每次只能替换一处文字。
分别对正整数、平面几何(欧氏几何)进行公理化概括。
什么是虚拟现实技术?
对于一个有写保护功能的优盘,其写保护开关是防止病毒入侵的重要防护措施。
计算题:计算机执行某测试程序,其中含有大量浮点数据的处理操作,为提高性能可以采用两种方案,一是采用硬件实现浮点数平方根(FPSQR)的操作,可以使操作的速度提高20倍;另一种方案是提高所有浮点数据操作(FP)的速度,使其加快3倍。同时已知FPSQR操作的额时间占整个测试程序执行时间的25%,而FP操作占整个执行时间的60%,求出两种情况下的加速比,哪种方案更好些?
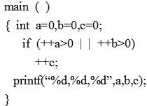
下述程序的输出结果是()。
A:0,0,0
B:1,1,1
C:1,0,1
D:0,1,1
电脑的软驱指示灯常亮你将采取()措施。
A:检查软驱电源线是否插好
B:检查计算机面板灯是否插接正确
C:检查内存是否安装正确
D:检查软驱数据线是否接好
PowerPoint提供的动画方案有()。
A:出现
B:上升
C:下降
D:爆炸
IP欺骗的动机是隐藏自己的IP地址,防止被跟踪,以IP地址作为授权依据,穿越防火墙。
有数据定义语句BUF DW 0ABH,1,10 DUP(3 DUP(1,0),2)汇编后,为变量BUF分配的存储单元字节数是()。
A:48H
B:90H
C:120
D:60
Access数据库中只包含用户数据,不能有其它对象。
简述构造函数和析构函数的作用。
视图主要分为()和()。
在消息传递通信机制的硬件上怎样支持共享存储器?
压感笔如果要()可以在同一地方快速轻敲数位板两次,就像用鼠标按钮点击两次一样。
A:点击
B:绘图
C:写字
D:双击
安装MS SQL Server时,系统自动建立几个数据库,其中有一个数据库被删除后,不影响系统的正常运行,这个数据库是()。
A:master数据库
B:model数据库
C:tempdb数据库
D:pubs数据库
二进制数10010001.010的十六进制数为()
A:A1.4
B:91.4
C:91.25
D:A1.25
光盘CD-ROM的特点是()。
A:只能读取信息,不能写如信息
B:能读取信息,也能写如信息
C:不能读取信息,也不能写入信息
D:不能读取信息,能写入信息
在Dreamweaver的工作环境中主要包括了哪些部分?
声明构造方法时,不能使用private关键字修饰。
动画电影的特点()
A:叙事性
B:绘画工艺性
C:艺术性
色的冷暖主要是由()来决定的
A:纯度
B:明度
C:色相
D:透明度
典型安装的Windows系统启动后,桌面一定出现的图标是()。
A:我的电脑
B:回收站
C:IE
D:资源管理器
系统工程方法论的特点。
crontab文件由六个域组成,每个域之间用空格分割,其排列如下()。
A:MINHOURDAYMONTHYEARCOMMAND
B:MINHOURDAYMONTHDAYOFWEEKCOMMAND
C:COMMANDHOURDAYMONTHDAYOFWEEK
D:COMMANDYEARMONTHDAYHOURMIN
进程调度的关键问题是()。
A:时间片的大学
B:进程调度算法
C:CPU速度
D:内存空间利用率
稳定阶段的成功标准是:()
A:所有要素都准备就绪,可以发布
B:运营部门批准可以发布
C:试运行测试完成
D:得到用户的认可
关于float数定义正确的是()
A:float f=1.0
B:float=x0x0687
C:float=-5
D:float=1.8f
你是一个贷款业务公司的数据库开发者。你设计了数据库事务来支持一个新数据项目应用程序。新数据项目应用程序的用户将从数据库中检索贷款信息。用户将改变信息和保存更新信息到数据库。你应怎么设计这事务?
首页
<上一页
1389
1390
1391
1392
1393
下一页>
尾页