自考题库
首页
所有科目
自考历年真题
考试分类
关于本站
游客
账号设置
退出登录
注册
登录
出自:工学
发动机出现不能起动故障(起动机工作正常),在读取数据流时首先应该注意发动机的()信号。
A:转速信号
B:起动信号
C:空气流量传感器
社会主义政治民主化是()必须促进和推动的重要目标,也是()要予以体现和实现的基本内容。
在预应力筋张拉时,构件混凝土强度不应低于设计强度标准值的()
A:50%
B:75%
C:30%
D:100%
气门锥角
无压引水式水电站宜于修建在河道(),流量相对较小的()河段。
A:比降小,上游
B:比降大,下游
C:比降大,上游
D:比降小,下游
对于浅埋隧道,围岩自然拱()
A:能形成
B:支护及时则能形成
C:让围岩充分变形则能形成
D:不能形成
车窗启动防夹功能的依据可能为()。
A:车窗电动机的运转噪声
B:霍尔传感器传送来的车窗电动机转速变化数据
C:车窗控制模块改变电流方向信号
D:电流检测电路检测到的电动机电流变化数据
钎焊材料的温度低于()℃是软钎焊。
A:350
B:450
C:550
当某陶瓷制品的釉>坯时,釉层应该承受的是()
A:无作用力
B:剪切应力
C:压应力
D:张应力
晶面与晶向
回归分析是处理监控量测数据的一种较好的方法,采用回归分析时,测试数据散点分布规律,可选用的函数式关系有()
A:三角函数
B:对数函数
C:指数函数
D:双曲函数
轻型动力触探(N
10
)试验可用于以下哪些地基处理方法的施工质量检测?
A:碎石桩法
B:石灰桩法
C:夯实水泥土桩法
D:水泥土搅拌法
车身外部涂装,最初使用凡立水及油脂漆,()年开始使用硝基漆。
A:1934
B:1924
C:1940
D:1886
石墨在铸铁中是有害无益。
高层结构计算时,基本风压、风荷载体型系数和高度变化系数应分别如何取值?
排水管道回填的施工过程包括的工序有()。
A:加灰
B:夯实
C:检查
D:挖土
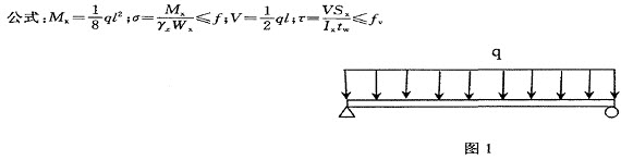
图一所示简支梁长6m,采用I36a(f=215N/mm
2
,f
v
=125N/mm
2
,)已知单位长度的质量为59.9kg/m,梁的自重为59.9*9.8=587N/m,I
x
=15760cm
4
,W
x
=875cm
3
,I
x
/S
x
=30.7cm,T
w
=10mm,梁上作用恒荷载,荷载的密度q=35000N/m,荷载分项系数1.0,截面塑性发展系数
,试验算此梁的正应力及支座处剪应力。
制定烧成制度的依据?
沉积岩的主要构造形式是_______________。
信号追踪法检查功放电路,就是将低频信号发生器输出的1000Hz(或400Hz)信号,加至汽车音响最前置放大电路(功放电路)的信号输入端,检查功放级工作是否正常。()
合环操作前,应如何定相?
剪力墙有哪几种类型?
FT111型调节器是双级电磁振动式调节器。
电压和电流方向都随时间变化的信号叫做()。
A:直流(DC)信号
B:交流(AC)信号
C:频率调制信号
试画出含给定滤波与反馈滤波的PI型电流调节器原理图
不均匀系数Cu、曲率系数Cc的表达式为Cu=()、Cc=()。
图像的比度越大,相应的清晰度越高。
汽车在底盘测功机上进行动力性检测时,一般采用汽车的四挡进行检测。
汽车的返修鉴定由汽车维修质量检验员负责,目的是分清责任,以便组织、协调和实施返修,并登记、填写汽车返修记录表。()
轮胎气压表是专门用于测定轮胎气压的量具。()
首页
<上一页
137
138
139
140
141
下一页>
尾页