自考题库
首页
所有科目
自考历年真题
考试分类
关于本站
游客
账号设置
退出登录
注册
登录
出自:电气工程公共基础
什么是软磁材料莫特点、用途是什么?
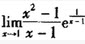
等于().
A:2
B:0
C:∞
D:不存在且不是∞
简述常用的两种基元函数?
两个开关控制一盏灯,只有两个开关都闭合时灯才不亮,则该电路的逻辑关系是()。
A:与非
B:或非
C:同或
D:异或
设A是5×6矩阵,则()正确。
A:若A中所有5阶子式均为0,则秩RA.=4
B:B.若秩R=4,则A中5阶子式均为0
C:C.若秩R=4,则A中4阶子式均不为0
D:D.若A中存在不为0的4阶子式,则秩R=4
油浸式变压器油顶层温升应小于55k.( )
通信系统中的三种脉冲调制方式?
设3阶方阵A、B的行列式|A|=2,|B|=-3,则|-ATB2|等于().
A:18
B:-6
C:-18
D:-9
为了抑制冲击波在电缆中的折反射,需要在冲击测量中使用匹配电阻。()
设X服从参数为1的指数分布,则=()。
A:
B:1
C:
D:
周期性交流量的波形因数等于( )
A:有效值/平均值
B:最大值/有效值
C:瞬时值/有效值
D:最大值/平均值
操作系统中采用虚拟存储技术,实际上是为实现()。
A:在一个较小内存储空间上,运行一个较小的程序
B:在一个较小内存储空间上,运行一个较大的程序
C:在一个较大内存储空间上,运行一个较小的程序
D:在一个较大内存储空间上,运行一个较大的程序
判断总流的流动方向用下列哪一判据?()
A:由高向低流动
B:由压强大向压强小流动
C:由断面单位机械能大向断面单位机械能小的方向流动
D:由速度快的地方流向速度慢的地方
热力发电厂的锅炉给水泵采用()。
A:离心式
B:混流式
C:轴流式
D:离心式或混流式、轴流式均有
原子序数为24的元素,其原子外层电子排布式应是()。
A:3d44s2
B:3d54s2
C:3d54s1
D:3d55s1
当事人一方不履行合同义务,应当承担的违约责任的方式
不包括
()。
A:继续履行
B:采取补救措施
C:赔偿损失
D:追缴财产
以波长λ1=0.11nm的X射线照射某晶面,其晶面间距为d,在入射掠射角为θ1=11.25°时获得第一级极大反射光;换用另一波长为λ2的X射线照射该晶面,测得第一级极大反射光相应的入射掠射角为θ2=17.5°,则以下计算结果正确的是()。
A:d=3.55nm,λ2=2.14nm
B:d=0.282nm,λ2=5.90nm
C:d=3.55nm,λ2=0.170nm
D:d=0.282nm,λ2=0.170nm
若用闸刀开关控制电动机,闸刀开关额定电流应选用电动机( )电流。
A:额定
B:1.2倍额定
C:3.0倍额定
在一个均匀陀螺的圆周上均匀地刻上(0,4)上的所有实数,旋转陀螺,求陀螺停下来后,圆周与桌面的接触点位于[0.5,1]上的概率()(提示:陀螺及刻度的均匀性,它停下来时其圆周上的各点与桌面接触的可能性相等)
A:1/2
B:1/4
C:1/8
D:1/16
有直接控制问题的触发器包括()。
A:基本RS触发器
B:同步RS触发器
C:JK触发器
D:D锁存器
信息保密的方法有()两种。
A:信息加密,数字签名
B:信息隐藏,系统加密
C:信息加密,信息隐藏
D:数字签名,系统加密
变压器用的电阻测温计的使用环境温度为-40~50℃,它的测温范围为()℃。
A:-40~100;
B:-50~100;
C:-40~120;
D:0~100。
三相变压器中三次谐波分量一定最大。()
酷热的夏天,在平坦的柏油公路上你会看到在一定的距离之外,地面显得格外的明亮,仿佛是一片水面,似乎还能看到远处车、人的倒影.但当你靠近“水面”时,它也随你的靠近而后退.对此现象的正确解释是()。
A:同海市属楼的光学现象具有相同的原理,是由于光的全反射作用造成的
B:“水面”不存在,是由于酷热难耐,人产生的幻觉
C:太阳辐射到地面,使地表温度升高,折射率大,发生全反射
D:太阳辐射到地面,使地表温度升高,折射率小,发生全反射
单稳态触发器的工作过程可分为哪三个阶段()。
A:触发翻转
B:暂态维持
C:返回恢复
D:比较放大
在OSI模型中,第N层和其上的N+1层的关系以下描述
不正确
的是()。
A:N层利用N+1层提供的服务
B:N层为N+1层提供服务
C:N层对N+1层没有任何作用
D:N+1将从N层接收的信息增加了一个头
下列器件的输出电路可编程的是()。
A:PAL
B:GAL
C:PROM
D:PLA
数字电路中的1和0可以代表()。
A:器件的状态
B:电平的高低
C:脉冲的有无
D:数量的大小
自由质点受力作用而运动时,质点的运动方向是()。
A:作用力的方向
B:加速度的方向
C:速度的方向
D:初速度的方向
配电变压器在运行前应作哪些项目的检查?
首页
<上一页
135
136
137
138
139
下一页>
尾页