自考题库
首页
所有科目
自考历年真题
考试分类
关于本站
游客
账号设置
退出登录
注册
登录
出自:公卫执业助理医师
医院污水排放标准()
A:地面水用水点
B:污水排放口的地面水
C:来自来水厂的出厂水
D:全国江、河、湖泊、水库等水域
E:医院污水排放口
粉尘对人体的致病作用除外()
A:致纤维化作用
B:致敏作用
C:中毒作用
D:致畸作用
E:致癌作用
频数集中于变量值大的一侧者称为( )。
A:对称分布
B:偏态分布
C:正偏态分布
D:负偏态分布
E:分布不明
我国的《公共浴室卫生标准》对以下项目提出了卫生要求,除了()
A:小气候
B:池水温度与浑浊度
C:噪音
D:空气质量
E:以淋浴为主
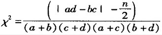
χ
2
检验的基本公式()
A:
B:
C:
D:
E:
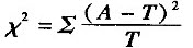
计量资料可进行下列统计处理,其中哪一个是错误的()
A:求均数、标准差、标准误
B:求率和X
2
检验
C:秩和检验
D:方差分析
E:t检验
某医院用中药合剂治疗乙型肝炎,HBsAg阴转效果见下表。
该检验的无效假设为()
A:μ
1
=μ
2
B:π
1
=π
2
C:μ
1
=0
D:μ
1
≠μ
2
E:π
1
≠π
2
不得使用食品添加剂掩盖食品的缺陷或()
A:不应有破坏作用
B:不得超过允许限量
C:对人体安全无害
D:作为伪造的手段
E:不得加入食品添加剂
神经元与神经元接触并传递信息的部位是()
A:终板
B:受体
C:神经-肌肉接头
D:突触
E:闰盘
女,18岁,1月前上课时学校受流氓骚扰,班内一男同学被打重伤,病人突然失去听力,对他人问话无反应,持续至今,经检查缺乏器质性耳聋证据,后经暗示治疗,听力恢复正常。最可能诊断()
A:脑器质性疾病
B:急性应激反应
C:分离性障碍
D:精神分裂症
E:恐惧症
统计图的坐标应()
A:所有统计图的纵坐标都应从"0"开始
B:所有统计图的横坐标都应从"0"开始
C:直条、直方图的纵坐标都应从"0"开始
D:线图、直方图的纵坐标都应从"0"开始
E:以上均不对
实际工作中所指的职业病是指()
A:政府规定的职业病
B:接触职业性有害因素引起的特定疾病
C:法定职业病
D:职业史
E:工作有关疾病
预防地方性甲状腺肿的措施
不包括
()
A:口服碘油胶丸
B:碘油肌内注射
C:食用含碘盐
D:经常食用海产品
E:经常食用动物蛋白
根据实际年龄、评价年龄和可达年龄,一般可将健康状况分为( )。
A:健康型、亚健康型、疾病型
B:健康型、自创危险因素型、历史危险因素型、少量危险型
C:健康型、存在危险型、极危险型
D:健康型、不健康型
E:以上均不是
视野缺损常见于()
A:额叶肿瘤
B:颞叶浅部肿瘤
C:顶叶肿瘤
D:枕叶肿瘤
E:小脑肿瘤
DNA以半保留方式进行复制,一段完全被放射性核素标记的DNA分子置于无放射性标记的溶液中复制两代,其放射性状况如何()
A:4个分子的DNA均有放射性
B:仅2个分子的DNA有放射性
C:4个分子的DNA均无放射性
D:4个分子的DNA双链中只有其中一条链具有放射性
E:以上都不是
结核杆菌的毒力大小取决于()
A:入侵机体的结核杆菌数量
B:结核杆菌的类型
C:能否导致活动性肺结核
D:耐药性
E:引起血行播散能力大小
计算麻疹疫苗接种后血清检查的阳转率,分母为()
A:麻疹易感儿数
B:麻疹疫苗接种后阳转人数
C:麻疹疫苗接种人数
D:麻疹患儿数
E:接受血清学检查的患儿数
下列哪项不是乡镇工业劳动卫生服务的内容()
A:制订生产发展规划
B:从业人员健康监护
C:劳动卫生监督
D:宣传教育、培训
E:生产环境监测
菜子油中常见的有害物质()
A:黄曲霉毒素
B:多环芳烃类
C:芥酸
D:棉酚
E:甲醛
评价居室空气清洁度一般用下列指标,除了()
A:链球菌总数
B:二氧化硫
C:二氧化碳
D:大肠菌群总数
E:细菌总数
临近绝经的阶段(内分泌学、生物学及临床特征上出现绝经趋势的迹象)和绝经后1年,指的是哪个时期()
A:绝经前期
B:绝经后期
C:绝经过渡期
D:围绝经期
E:更年期
房室瓣关闭主要是由于()
A:心房收缩
B:心室收缩
C:乳头肌收缩
D:室内压高于房内压
E:房室瓣舒张
按儿童计划免疫要求,儿童在1岁半至2岁半内应完成下列几种生物制品的接种()
A:卡介苗、百日咳菌苗、麻疹、脊髓灰质炎疫苗
B:麻疹、脊髓灰质炎疫苗、白喉、破伤风类毒素
C:百日咳菌苗、麻疹、脊髓灰质炎疫苗、白喉类毒素
D:脊髓灰质炎疫苗、白喉、破伤风类毒素、卡介苗
E:卡介苗、百日咳、白喉、破伤风疫苗、脊髓灰质炎和麻疹疫苗
健康教育与卫生宣传的区别点在于()
A:防病知识重点不同
B:传播方向不同
C:社会人群不同
D:评价相同
E:反馈不同
给胃癌患者实施直肠指诊检查的目的是了解有无()
A:种植转移
B:淋巴转移
C:血行转移
D:直接浸润
E:跳跃转移
以玉米为主食的居民中易发生()
A:脚气病
B:佝偻病
C:坏血病
D:癞皮病
E:干眼病
正常人血液中含量较多的胆红素是哪种()
A:间接胆红素
B:直接胆红素
C:尿胆素原
D:尿胆素
E:粪胆素
香精和香料最常引起()
A:刺激性接触性皮炎
B:光变应性皮炎
C:化妆品性痤疮
D:皮炎型酒糟鼻
E:变应性接触性皮炎
面食烘烤出现美拉德反应时,以下哪种氨基酸失去效能()
A:蛋氨酸
B:赖氨酸
C:丝氨酸
D:亮氨酸
E:异亮氨酸
首页
<上一页
135
136
137
138
139
下一页>
尾页