自考题库
首页
所有科目
自考历年真题
考试分类
关于本站
游客
账号设置
退出登录
注册
登录
出自:计算机科学
test命令主要提供了判断功能,语法格式为:test–[dfrwxs]file,其中-ffile表示()
A:文件file存在且为目录文件
B:文件file存在且为普通文件
C:文件file存在且文件长度为非零
D:文件file存在且为可执行文件
下面关于嵌入式系统软件的描述中,正确的是()。
A:NiosII是一种免费和开源的实时操作系统
B:U-Boot是一种应用非常普遍的引导加载程序
C:RTEMS是一种嵌入式Linux操作系统发行版
D:Windows Embedded系列产品是专为需要弹性硬件和硬实时支持的小型设备而设计的平台
一个DRAM芯片的超单元被组织成一个4行4列的阵列,每个超单元都由8个DRAM单元组成,那么这个DRAM总共存储了()位信息
A:16
B:32
C:64
D:128
FC/PC尾纤接头的含义为()。
A:圆形光纤接头/面呈8度角并作微凸球面研磨抛光
B:圆形光纤接头/微凸球面研磨抛光
C:卡接式圆型光纤接头/面呈8度角并作微凸球面研磨抛光
D:卡接式圆形光纤接头/微凸球面研磨抛光
中国互联网信息中心的英文简称是()
A:CNNIC
B:ICCB
C:InterNIC
D:ICANN
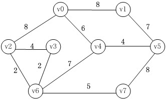
已知图G如下所示,根据Prim算法,构造最小生成树。(要求给出生成过程)
把算法的工作量大小和实现算法所需的存储单元多少分别称为算法的()和()
A:可实现性
B:时间复杂度
C:困难度
D:计算有效性
E:可行性
F:高效性
G:空间复杂度
逻辑链路控制(LLC)子层的功能是什么?()
A:定义硬件执行的介质访问进程
B:提供数据链路层寻址
C:确定所使用的网络层协议
D:接受数据段,并将其打包成被称为数据包的数据单元
在调用自定义函数时,参数的传递有()和()两种形式。
执行布尔运算操作时,目标体只能有一个,而工具体可以是一个,也可以多于一个。
VCD视频图像采用的专用文件格式的扩展名是()。
A:.jpg
B:.dat
C:.mpg
D:.mov
ER模型的特点是什么?
Android平台支持几种宽泛类别的传感器?()
A:1
B:8
C:3
D:12
已知:DS=2000H,BX=0300H,SI=0002H,(20300H)=12H,(20301)=34H,(20302H)=56H,(20303H)=78H,(21400H)=2AH,(21401H)=4CH,(21402H)=B7H,(21403H)=65H 试说明下列指令执行完后AX寄存器的内容:MOV AX,BX
信息隐蔽(封装性)
如图所示为“层”面板,下面关于层的说法错误的是()。
A:可以将许多对象存放于一个层
B:如果层2位于层1之上,那么层2上的所有对象也位于层1上的对象 之上
C:画布位于所有层之下,其本身不是层
D:不同层上的对象将无法组合在一起
写出运行结果
向用户授予操作权限的SQL语句是()。
A:CTEATE
B:REVOKE
C:SELECT
D:GRANT
在Word中,设置标题与正文之间距离的正规方法为:()
A:在标题与正文之间插入换行符
B:设置段间距
C:设置行距
D:设置字符间距
粘贴板在文档的周围提供了额外的空间,让对象能够延伸到页面边缘的外面,这被称之为出血。
使用“修复画笔工具”修图时,需要先按()键提取样本像素,再在需要修改的位置涂抹。
简述冯诺依曼机型的主要特征?
列出可以降低系统内无线干扰的三种方法?
扫描仪的核心是()。
A:镜头
B:光源
C:反光镜
D:光电耦合器件
下面哪些java语句会导致无限循环()。
A:III only
B:I and III only
C:I only
D:I,II and III
Shell变量用于在Shell程序中保存系统和用户需要使用的值,Shell变量可分为4种类型,请简述这4中类型。
按使用器件划分计算机发展史,当前使用的微型计算机是()。
A:集成电路
B:晶体管
C:电子管
D:超大规模集成电路
TCP/IP使用ARP将物理地址转换为IP地址。
哈希函数是记录关键字的值与该记录()之间所构造的对应关系。
图表的类型有多种,折线图最适合反映()。
A:数据之间的对应关系
B:单个数据在所有数据构成的总和中所占比例
C:数据间量的变化快慢
D:数据之间量与量的大小差异
首页
<上一页
134
135
136
137
138
下一页>
尾页