自考题库
首页
所有科目
自考历年真题
考试分类
关于本站
游客
账号设置
退出登录
注册
登录
出自:计算机科学
试给出基于行程的连通域标记算法?
常用的网页图像格式有()
A:gif,tiff
B:tiff,jpg
C:gif,jpg
D:tiff,png
可以使用按下()键的方式来同时选择几个不相邻的区域。
A:Alt
B:Shift
C:Ctrl
D:Tab
进入20世纪50年代,意大利的设计形成了自己的艺术风格。这便是意大利吸收美国流线型而形成的()
新建的图层,默认位于当前图层的下方。
某机器的主存储器共32KB,由16片16K×1位(内部采用128×128存储阵列)的DRAM芯片字和位同时扩展构成。若采用集中式刷新方式,且刷新周期为2ms,那么所有存储单元刷新一遍需要()个存储周期。
A:128
B:256
C:1024
D:16384
一般业者较常采用()
A:手工制版
B:直接制版
C:直间接制版
D:间接制版
下列是命题的是()。
A:5是正数吗
B:x+l=2
C:请大家坐好
D:任何一个整数的平方仍然是正数
接口是指不同设备之间为实现互连和通信商具有的对接部分。微型计算机有三类接口,即总线接口、串行口和并行口。串行口是指()。
A:主机和接口之间采用并行传递,接口和外设之间采用串行传送
B:主机和接口之间、接口和外设之间均采用并行传送
C:主机和接口之间采用串行传递,接口和外设之间采用并行传送
D:主机和接口之间、接口和外设之间均采用串行传送
已知某二叉树的后序遍历序列是dabec,中序遍历序列是debac,它的前序遍历序列是()
A:acbed
B:decab
C:deabc
D:cedba
简述FDM和TDM之间的区别。
ADSL.MODEM的PVC设置
不正确
是ADSL.MODEM在线路上不能正常同步的原因之一()
DBMS的存储管理器有哪几部分组成?
在80486的32位标志寄存器中,其每一位都有一定的含义。
下列关于索引的说法,错误的是()。
A:索引会占用存储空间
B:数据库中建立索引是为了加快数据的查询速度。
C:索引会增加数据更改的时间
D:索引建立的越多,查询效率越高
对于函数依赖X→Y,如果Y是X的子集,此函数依赖为()函数依赖。
在使用“Motion Tracker”时,在“Layer”(层)窗口中可以:()
A:显示跟踪名称
B:同步预览跟踪的画面
C:显示跟踪范围
D:手动设置跟踪范围
VB也提供了结构化程序设计的三种基本结构,这三种基本结构是()
A:递归结构、选择结构、循环结构
B:选择结构、循环结构、顺序结构
C:过程结构、输入/输出结构、转向结构
D:选择结构、过程结构、顺序结构
光缆是数据传输中最有效的一种传输介质,它有()的优点。
A:频带较宽
B:电磁绝缘性能好
C:衰减较小
D:无中继段长
为了建立在孔中心与圆形阵列的旋转点间的相关性,可以使用一孔中心为圆形阵列的旋转点。
要在不弹出对话框的情况下,创建一个新的图层,可以按哪个键()?
A:Ctrl+Shift+N
B:Ctrl+Alt+N
C:Ctrl+Alt+Shift+N
D:Ctrl+N
状态口地址86H,数据口85H,外设忙碌D7=1,请用查询方式写出CPU从存储器缓冲区BUFFER送出1KB的数据给外设程序段(一次送一字节)。
帧出错
C++中,根据()识别类层次中不同类定义的虚函数版本。
A:参数个数
B:参数类型
C:函数名
D:this指针类型
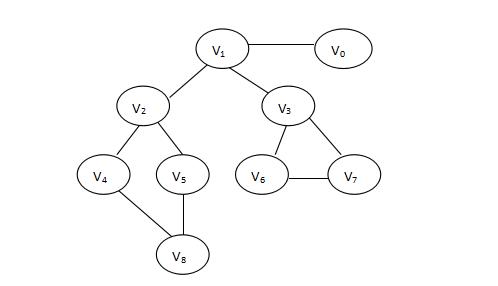
已知如图所示的一个图,若从顶点V0出发,按深度优先法进行遍历,则可能得到的一种顶点序列为()
A:A
B:B
C:C
D:D
中国移动网络运行维护规程落实了哪些网络运维要求()?
A:标准化
B:信息化
C:集中化
目前Celeron 3 CPU的L2 Cache二级缓存是()
A:56KB
B:128KB
C:256KB
D:512KB
镜像时如果只想拷贝物体,应选哪个参数、()
A:不克隆
B:参考
C:实例
D:复制
下面关于位图基本特征的说法
不正确
的是()。
A:在计算机上调整图像大小或颜色时不会降低分辨率与品质
B:位图由一组指令集合加以描述
C:位图无论放大或缩小,都有一样平滑的边缘,一样的视觉细节和清析度
D:位图由像素构成,在缩放过程中会损失细节或产生锯齿
产生如图所示的喷泉式粒子效果,可使用下列哪种特效()?
A:Fractal
B:Caustics
C:Particle Playground
D:Shatter
首页
<上一页
1348
1349
1350
1351
1352
下一页>
尾页