自考题库
首页
所有科目
自考历年真题
考试分类
关于本站
游客
账号设置
退出登录
注册
登录
出自:经济学
按照钱纳里、渡边经彦的分类,农业是属于()产业.
A:中间产品型产业
B:中间产品型基础产业
C:最终需求型产业
D:最终需求型基础产业
封闭经济是一种经济()
A:不存在国际贸易
B:不存在政府部门
C:存在出口但不存在进口
D:存在进口但不存在出口
管理会计提供信息的质量特征中,()是指同一企业不同时期应使用的规则、程序和方法,其目的在于使企业本身各个年度的管理会计信息能够相互可比。
A:准确性
B:一贯性
C:相关性
D:及时性
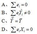
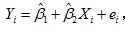
设OLS法得到的样本回归直线为
以下说法
不正确
的是()。
A:A
B:B
C:C
D:D
经济核算制
某贸易货物的到岸价格为200美元/吨,国内运费为到岸价的3%,贸易费用为到岸价格的1%,则该货物的影子价格为()。(外汇牌价为8.03元/美元)
A:1670.24元/吨
B:1760.24元/吨
C:1670.34元/吨
D:1240.76元/吨
波普尔对方法论的贡献在于,他最早反对逻辑实证主义的()原则,对盛行于西方的()进行了批判;他提出了观察必须有()的指导;他强调了()在科学发展中的作用;他第一次提出了科学发展的()。
在劳动的专业分工中,各地都只专门生产对其有最大利益的产品,这里遵循的是经济学中的()原则。
用替代效应和收入效应解释需求定理。
先进制造系统投资项目的评价过程包括下面的工作内容()。
A:认识企业的目标结构和关键的成功因素
B:了解企业经营环境和项目实施条件
C:分析评价备选方案的技术功能
D:识别与计量各种备选方案的费用、效益与风险
E:对备选方案进行综合评价与比选
总需求曲线在其他条件不变时因()而右移。
A:名义货币供给量增加;
B:政府支出减少;
C:价格水平上升;
D:税收减少。
简述城市的基本特征?
下面哪一项
不属于
影响人们快乐与否的因素?()
A:供给的多少
B:价格变动指数
C:待遇的增减
D:时间问题
在商品经济中,价值规律的作用形式是()
A:价格决定价值
B:价值决定价格
C:价值围绕价格上下波动
D:价格围绕价值上下波动
影响房地产消费者的心理因素()。
A:需要
B:认识
C:态度
D:感情
在我国国家的农业基本建设投资主要用于()
A:农业科技推广
B:治理大江大河
C:购买农机具
D:购买化肥和农药
马克思的三大社会形态包括()。
A:自由社会
B:商品社会
C:自然社会
D:农业社会
列人员哪类
不属于
失业人员()
A:调动工作的间歇在家休养者
B:半日工
C:季节工
D:对薪水不满意而待业在家的大学毕业生
如果在所有的投入的总量增加一倍时,产量正好也增加一倍,那么生产函数表现为()
A:收益不变
B:收益递减
C:收益递增
D:规模经济
下列属于现实产业经济分析在SCP基础上增加的是().
A:市场结构
B:市场行为
C:市场绩效
D:产业政策环境分析
垄断厂商拥有控制市场的权力,这意味着()。
A:垄断厂商面对一条向下倾斜的需求曲线
B:如果他的产品增加一个单位,则全部产品的销售价格必须降低
C:垄断厂商的边际收益曲线低于其需求曲线
D:以上都正确
在城市等级体系中购物路线是()的。
A:单向的
B:双向的
C:多向的
D:都有可能
在二十世纪八十年代收入差异增长最快的职业出现在()
A:销售行业
B:政府工人中
C:教师行业
D:流水线工人中
LM曲线可划分为几个区域?其经济含义是什么?
当IS曲线的斜率更大,财政政策的挤出效应会:()
A:更大
B:更小
C:不变
D:视情况而定
下面()属于中间产品型基础产业.
A:渔业
B:钢铁业
C:林业
D:石油化工
1972年6月5日,联合国在瑞典()召开了第一次人类环境会议。
简述影响耗竭资源开发利用速度的因素。
国际市场上的资产证券化产品中的ABS指()
A:资产支持证券
B:住房抵押贷款证券
C:转手证券
D:附属担保品抵押证券
资源的稀缺性决定了资源可以得到充分利用,不会出现资源浪费的现象。
首页
<上一页
1344
1345
1346
1347
1348
下一页>
尾页