自考题库
首页
所有科目
自考历年真题
考试分类
关于本站
游客
账号设置
退出登录
注册
登录
出自:电气工程公共基础
池水为什么看起来变浅?
采用浮栅技术的EPROM中存储的数据是()可擦除的。
A:不
B:紫外线
C:电
D:高压电
某变径管的雷诺数之比Re1∶Re2=1∶4,则其管径之比d1∶d2,为()。
A:1∶4
B:1∶2
C:2∶1
D:4∶1
光轴角
均匀加宽
对电介质施加直流电压时,由电介质的弹性极化所决定的电流称为( )
A:泄漏电流
B:电导电流
C:吸收电流
D:电容电流
重力大小为W的物块能在倾斜角为α的粗糙斜面上下滑,为了维持物块在斜面上平衡,在物块上作用向左的水平力Fq(图4-33)。在求解力Fq的大小时,物块与斜面间的摩擦力F方向为()。
A:F只能沿斜面向上
B:F只能沿斜面向下
C:F既可能沿斜面向上,也可能向下
D:F=0
f(x)在x0处可导,且
,则
等于()。
A:2
B:-2
C:
D:
集成电路的逻辑功能一般可用()等方式来表示。
A:逻辑符号
B:功能表
C:真值表
D:状态转换图
在计算机网络中,服务器是指()。
A:硬件性能最高的计算机
B:提供共享资源或其他服务功能的计算机系统
C:接受服务或需要访问共享资源的计算机
D:安装的软件最多的计算机
DL/T572-95《变压器运行规程》规定:变压器防爆管(安全气道)的保护膜爆破压力应低于()。
A:101.3kPa;
B:0.55kPa;
C:49kPa;
D:10kPa。
西林电桥是一种直流电桥,可以测量材料和设备的电容值和介质损耗角的正切值。
消光角
Drag&DropAPI中drag表示什么?()
A:拖动开始事件。
B:从dragstatr开始后到dragend结束前,在拖动时这个事件不断出现。
C:拖动结束事件。
D:在当前元素区域停止拖拽的事件。
辑变量X、Y的波形如图所示,的波形是()。
A:
B:
C:
D:
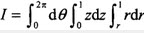
计算
,其中Ω为z2=x2+y2,z=1所围成的立体,则正确的解法是()。
A:
B:
C:
D:
举例说明满足光学系统消除场曲条件(Petzval)的几种结构形式。
雷诺数Re可用来判别流体的流动型态,当()
A:Re<2000;
B:Re>2000;
C:Re>1000;
D:Re<1000。
升高温度可以增加反应速率,主要是因为()。
A:增加了反应物压力
B:增加了活化分子百分数
C:活化能增大
D:混乱度增加
电力系统过电压分_________、_________、_________、_________。
微机型继电保护的测量信号与传统的保护相同,取自于_________和_________的二次侧。
有载调压配电变压器在吊检中对分接开关应做哪些方面的检查?
LVS服务器作为负载均衡调度器,起着非常重要的作用,为了保证它的高可用性,需要至少几台作为LVS服务器()。
A:1
B:2
C:3
D:4
停用低频减载装置时应先停( )。
A:电压回路
B:直流回路
C:信号回路
D:保护回路
GAL的输出电路属于()。
A:OLMC
B:固定的
C:只可一次编程
D:可重复编程
空气间隙两端的电压高到一定程度时,空气就完全失去其绝缘性能,这种现象叫做气体击穿或气体放电。此时加在间隙之间的电压叫做()。
A:安全电压;
B:额定电压;
C:跨步电压;
D:击穿电压。
一个完整的PLD设计流程有设计准备、设计输入等四个步骤和()两验证过程。
A:设计校验(功能仿真和时序仿真)
B:器件加密
C:器件老化
D:器件测试
如图所示电路的传递函数及幅频特性曲线是()。
A:
B:
C:
D:
图4-35所示一重力大小为W=60kN的物块自由放置在倾角为θ=30°的斜面上,若物块与斜面间的静摩擦因数为f=0.4,则该物块的状态为()。
A:静止状态
B:临界平衡状态
C:滑动状态
D:条件不足,不能确定
在批处理兼分时的系统中,对()应及时响应。
A:批量作业
B:前台作业
C:后台作业
D:网络通信
首页
<上一页
132
133
134
135
136
下一页>
尾页