自考题库
首页
所有科目
自考历年真题
考试分类
关于本站
游客
账号设置
退出登录
注册
登录
出自:电气工程公共基础
已知逻辑电路如图7.5-5所示,经分析可知,输出F与输入信号X、Y之间的逻辑表达式为()。
A:
B:
C:
D:
设(X1,X2,…,X)是抽自正态总体N(0,1)的一个容量为n的样本,记,则下列结论中正确的是()。
A:服从正态分布N(0,1)
B:n服从正态分布N(0,1)
C:服从自由度为n的x2分布
D:服从自由度为(n-1)的t分布
对正项级数,则是此正项级数收敛的()。
A:充分条件,但非必要条件
B:必要条件,但非充分条件
C:充分必要条件
D:既非充分条件,又非必要条件
GB1094.3-2003中规定,标准雷电截波的冲击波的反极性峰值被限制在不大于截波峰值的()。
A:30%;
B:25%;
C:25%;
D:12%;
电力变压器铁心用热轧硅钢片制造时,磁通密度应选择1.4~1.5T;用冷轧钢片制造时,磁通密度应选择()。
A:1.4~1.5T;
B:1.6~1.7T;
C:1.39~1.45T;
D:1.2~1.3T。
一束波长为九的单色光分别在空气中和在玻璃中传播,则在相同的时间内()。
A:传播的路程相等,走过的光程相等
B:传播的路程相等,走过的光程不相等
C:传播的路程不相等,走过的光程相等
D:传播的路程不相等,走过的光程不相等
在VHDL语言中,变量的赋值符是()。
A:=
B::=
C:<=
D:==
第一年初借款100万元,若年利率为6%,从第一年至第三年每年末等额还款额为()万元才能还完。
A:31.41
B:37.41
C:39.33
D:33.33
下列物体中属于光源的是()
A:表面光滑的金属板
B:正在工作的小电珠
C:小镜子
D:晴天的月亮
项目投资现金流量表和项目资本金现金流量表的相同之处是()。
A:现金流入相同
B:现金流出相同
C:都有流动资金的流出
D:都有建设投资的流出
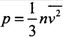
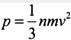
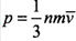
理想气体的压强公式是()。
A:
B:
C:
D:
按《合同法》的规定,合同生效后,当事人就价款或没有约定的,确定价款或时应按()的顺序履行。
A:订阅合同时履行地的市场价格、合同有关条款、补充协议
B:合同有关条款、补充协议、订立合同时履行地的市场价格
C:补充协议、合同有关条款、订立合同时履行地的市场价格
D:补充协议、订立合同时履行地的市场价格、合同有关条款
数字系统中,能自行产生矩形波的电路是()。
A:施密特触发器
B:单稳态触发器
C:多谐振荡器
D:集成定时器
牛顿环
同步发电机的振荡包括_________和_________。
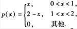
设连续型随机变量X的概率密度函数为
则关于t的一元二次方程9t2+4Xt+1=0无实根的概率等于().
A:1/8
B:3/8
C:5/8
D:7/8
技术能力要素中对于技术研发具有什么要求()。
A:根据业务和市场分析,制定研发规划,包括新技术和前沿技术的应用,技术储备等
B:配备与规划相适应的研发环境
C:配备与规划想适应的研发队伍
D:投入大量研发经费
一束光斜射到平面镜上,当入射光束与镜面的夹角逐渐减小时,则()
A:入射角逐渐增大,反射角逐渐增大
B:入射角逐渐减小,反射角逐渐减小
C:入射角逐渐增大,反射角逐渐减小
D:入射角逐渐减小,反射角逐渐增大
验电时应在()验电。
A:进线侧
B:出线侧
C:开关侧
D:进出线两侧分别
下列关于服务器虚拟化的描述中,有误的是()。
A:每个虚拟机都是完整的“机器”
B:数据和资源(性能)是独立的
C:用户应用无法区分是虚拟机还是物理机
D:一种多台物理服务器虚拟成一台或多台虚拟服务器的技术
什么是光学系统的景深?
图所示三铰支架上作用两个转向相反、大小相等且不为零的力偶m
1
和m
2
,支架自重不计。则支座B的约束力为()。
A:FB=0
B:FB的作用线沿水平方向
C:FB的作用线平行于D、B连线
D:FB的作用线平行于C、B连线
望远镜与显微镜有哪些共同点和不同点?
在公式法化简逻辑函数时常用()。
A:并项法
B:吸收法
C:消去法
D:配项法
继电保护的“三误”是指_________、_________、_________。
电路如图7-31(a)所示,已知R1=10Ω,R2=20Ω,uC(0-)=0,电路在t≥0暂态过程中,电容电压的变化曲线是图7-32(b)中的()。
A:A
B:B
C:C
D:D
GB1094.2-1996中,温升试验的两个阶段程序,通过协商可合成一个程序,即施加一个有功功率,介于负载损耗和总损耗之间,应使试品实际损耗至少为总损耗的()。
A:75%
B:80%
C:85%
D:90%
下列关于在变压器总装配后进行的电压比测量及联结组标号检定叙述错误的是()。
A:可以确定绕组与开关连接是否正确。
B:可以确定线圈匝数是否正确。
C:可以确定饼间是否有短路问题。
D:可以检定联结组标号。
变压器在进行感应高压试验时,为什么要提高试验电压的频率?
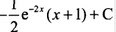
若
()(式中C为任意常数)。
A:
B:
C:
D:
首页
<上一页
131
132
133
134
135
下一页>
尾页