自考题库
首页
所有科目
自考历年真题
考试分类
关于本站
游客
账号设置
退出登录
注册
登录
出自:经济学
生产阶段是产业资本循环过程中()
A:具有决定性意义的阶段
B:最初的起始阶段
C:实现价值和剩余价值的阶段
D:最后的终结阶段
某农场实验表明,当每亩施肥量分别为30、40、50、60时,其边际收入分别为7.5、4.5、3、1.5,而其边际成本恒等于3,则该农场最适的每亩施肥量为()。
A:30
B:40
C:50
资本主义危机的特征是:()
A:生产过剩
B:需求过剩
C:生产不足
D:需求不足
“在科学上没有平坦的大道,只有不畏劳苦,沿着陡峭山路攀登的人,才有希望达到光辉的顶点。”出自()
A:《资本论》
B:《国富论》
C:《通论》
D:《经济学》
简述典型金本位制的特点。
市场体系的基本特征是()
A:完整性
B:交错性
C:开放性
D:核心性
E:联系性
煤泥水处理主要采用()等作业。 ①分级; ②过滤; ③浓缩; ④澄清; ⑤浮选; ⑥压滤
A:①③④⑤⑥
B:②③④⑤⑥
C:①②③⑤⑥
D:①②③④⑤⑥
区别直接调控与间接调控的主要标志在于是否通过()
A:计划机制进行调控
B:市场中介进行调控
C:企业购销进行调控
D:价格波动进行调控
公开市场业务是指中央银行在金融市场上买进或卖出有价证券
造成公共物品供给困境的主要原因为()。
A:搭便车问题
B:破坏生产行为
C:竞争过度问题
D:法律缺失问题
替代效应是指商品价格的变化是消费者在替代品中的()发生了变化。
A:实际收入
B:弹性
C:选择方向
D:替代性
试述简单商品流通与发达商品流通的联系与区别。
影响价格变动的因素有()。
A:价值
B:供求
C:币值
D:利率
为什么剩余价值率能表明资本主义的剥削程度?
农村和农村经济发展是城市化的原始动力。
投资项目风险概率分析法中,该项目指标的标准差数值越小,说明()。
A:实际发生的情况与期望值越接近
B:实际发生的情况与期望值差异越大
C:期望值的稳定性高
D:项目风险较小
E:项目风险较大
核心商圈中所能覆盖的顾客数占顾客总数的()
A:65%~80%
B:55%~70%
C:60%~80%
D:70%~80%
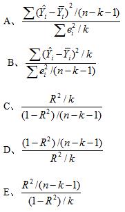
设k为回归模型中的参数个数(包含截距项)则总体线性回归模型进行显著性检验时所用的F统计量可以表示为()。
A:A
B:B
C:C
D:D
E:E
简述资源无价值的弊病。
建筑产品价格形成具有的特点有()。
A:个别定价
B:动态定价
C:分部定价
D:市场定价
E:分阶段定价
广告媒体组合策略的运用中,在哪一阶段广告媒体的安排主要以户外媒体、印刷媒体及焦点媒体为主?()
A:筹备期
B:公开期
C:强销期
D:持续期
现阶段,房地产中介服务机构规模大,并且市场占有率较高。
破产企业财产拍卖的特征是()。
A:资源得以重新配置的过程
B:资产保值的可靠途径
C:不属于强制拍卖的范畴
D:维护破产程序中有关各方利益的好方式
新增投资包括新建或扩建装置的投资和对老厂原有设施填平补齐发挥能力为新项目配套的投资,还可能包括为腾出场地必须对原有建筑物、构筑物的拆除和还建费用。
某商业银行在2000年12月共吸收存款500万元,按规定将其中的100万元作为准备金留下,其他的全部贷放了出去;同月,该银行的客户A先生从银行取走5万元现金并保留于手中;同时期的利息率为5%,发生在债券市场上的债券单位价格为400元。该银行的法定准备率为()。
A:10%
B:20%
C:30%
D:40%
网络外部性下的收益递增规律对下列哪些产品直接起作用。()
A:windows操作系统
B:Office办公软件
C:纸张
D:水泥
E:QWERTY键盘
关于经济学的解释,
不正确
的是()。
A:可以作为一种方法论
B:可以作为一种知识体系
C:可以作为一种哲学体系
D:可以作为一种话语体系
扩张性财政政策的效应是()。
A:同一价格水平对应的总需求增加;
B:同一总需求水平对应的价格提高;
C:价格水平下降,总需求增加;
D:价格水平提高,总需求减少。
单个投资的使用,要建立和强化()
A:资金管理制度
B:投资监控制度
C:投资业主责任制
D:生产管理制度
全球性的国际金融组织有()。
A:国际货币基金组织(IMF.
B:世界银行集团(WB.
C:国际清算银行(BIS)
D:世界贸易组织(WTO)
首页
<上一页
1319
1320
1321
1322
1323
下一页>
尾页