自考题库
首页
所有科目
自考历年真题
考试分类
关于本站
游客
账号设置
退出登录
注册
登录
出自:电气工程公共基础
ITSS是一套体系化的IT服务(),全面规范了IT服务产品及其组成要素,用于指导实施标准化的IT服务,以保障其可能信赖。
A:标准库
B:条款
C:守则
D:资料
系统稳定强调冗余备份和()。
A:应急响应
B:提前规划
C:技术先进
D:业务集中
低密度可编程逻辑器件(PLD)通常集成规模小于()门。
A:100
B:1000
C:10000
D:10000
已知()。
A:10100110
B:01011001
C:11011001
D:11011010
下列性质中,属于化学性质的是()
A:镁条易折断
B:武德合金的熔点约为69℃
C:铜具有良好的导电性
D:铝能与稀硫酸反应产生气泡
在虚拟化产品造型中,以下哪些产品是开源软件()。
A:vmvare
B:xen-server
C:KVM
D:hyper-v
同心光束
下列财务评价指标中,反映项目偿债能力的指标是()。
A:投资回收期
B:利息备付率
C:总投资收益率
D:财务净现值
通常计算机硬件由五部分组成,包括输入设备、输出设备和()。
A:控制器、运算器、寄存器
B:控制器、寄存器、存储器
C:运算器、控制器、存储器
D:寄存器、存储器、运算器
WEB站点指的是()。
A:WWW服务器
B:FTP服务器
C:邮件服务器
D:Telnet服务器
线扩散函数
CMOS精密单稳态触发器的暂稳时间tw为()。
A:0.7RxCx
B:RxCx
C:1.1RxCx
D:2.2RxCx
Windows有许多特点,但()不是它的特点。
A:友好的图形用户界面
B:支持虚拟存储管理
C:单任务
D:支持的文件系统格式有FAT、FAT32、NTFS
变直径管,直径由100mm扩大到200mm,直径变大后的流速为1.5m/s,直径变化前的流速为()m/s。
A:2
B:3
C:6
D:9
基本RS触发器的输入直接控制其输出状态,所以它不能被称为()触发器。
A:直接置1、清0
B:直接置位、复位
C:同步
D:异步
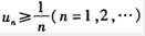
下列各选项正确的是().
A:若
和
都收敛,则
收敛
B:若收
敛,则
都收敛
C:若正项级数发散,则
D:若级数收敛,且u≥v(n=1,2,..),则级数也收敛
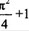
设C为抛物线y2=x上从点0(0,0)到点P(1,1)的一段弧,则曲线积分的值是().
A:2
B:1/2
C:1/3
D:1/4
已知混凝土排水管(n=0.014)的水力半径R=0.5m,水均匀流动1000m的沿程水头损失为2m,则该管的断面平均流速v=()m/s。
A:1.22
B:1.32
C:1.42
D:1.52
非相干光学处理?
静力学基本方程式表示在静止液体中,各点的()。
A:测压管水头均相等
B:位置水头均相等
C:压强水头均相等
D:测压管高度均相等
在GB1094.3-2003标准中,ACSD的正确含义为()。
A:长时感应耐压
B:短时感应耐压
C:雷电冲击
D:操作冲击
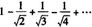
级数
的收敛性是().
A:发散
B:条件收敛
C:绝对收敛
D:无法判定
海拔高度小于1000米时,油浸水冷变压器冷却水的温度的最高不得超过20.0℃。
有载调压开关在运行中机械极限保护不起作用的原因是什么?怎样处理?
RLC并联电路如图7.2-29所示,在正弦电压u的激励下,各支路电流有效值I1=I2=I3=10A,当电压频率增加一倍而保持其有效值不变时,各电流有效值应变为()。
A:I1=20A,I2=20A,I320A
B:I1=10A,I2=20A,I3=5A
C:I1=10A,I2=5A,I3=20A
D:I1=5A,I2=5A,I3=5A
曲线
围成的平面图形绕x轴旋转产生的旋转体体积是()。
A:
B:
C:
D:
什么是光学系统的色差?
简述局部放电超声波定位的原理?
设函数,要使f(x)在点x=1处连续,则a的值是()。
A:-2
B:-1
C:0
D:1
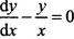
方程
的通解为()。
A:
B:y=Cx
C:
D:y=x+C
首页
<上一页
130
131
132
133
134
下一页>
尾页