自考题库
首页
所有科目
自考历年真题
考试分类
关于本站
游客
账号设置
退出登录
注册
登录
出自:电气工程公共基础
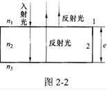
如图2-2所示,折射率为n2、厚度为e的透明介质薄膜的上方和下方的透明介质的折射率分别为n2和n3,已知n123。若用波长为λ的单色平行光垂直入射到该薄膜上,则从薄膜上、下两表面反射的光束(1)和(2)的光程差是()。
A:2n2e
B:
C:2n2e-λ
D:
自然界存在许多循环现象,下列四种循环所发生的变化主要通过物理变化实现的是()
A:碳循环
B:氧循环
C:二氧化碳循环
D:水的天然循环
以下
不属于
流程管理的是()。
A:核心流程
B:业务流程
C:行政流程
D:技术流程
空气的黏滞系数与水的黏滞系数μ分别随温度降低而()。
A:降低、升高
B:降低、降低
C:升高、降低
D:升高、升高
某三相发电机每相绕组电压为220V,在连接成形时,如果误将两相绕组的末端X、Y与另一相的首端C连成一点(中点),此时电压UBC等于()V。
A:220
B:380
C:127
D:190
出于运行的安全可靠性考虑,离心泵不宜采用()调节方式。
A:出口端节流调节
B:入口端节流调节
C:液力耦合器变速调节
D:变速电动机调速
入射瞳孔
计算机发展过程按使用的电子器件可划分为四代,其中第四代计算机使用的器件是()。
A:晶体管
B:超大规模集成电路
C:小规模集成电路
D:电子管
检验滚珠大小的干涉装置如图2.3-5(a)所示。S为光源,L为会聚透镜,M为半透半反镜,在两块光学平面玻璃T1、T2之间放置A、B、C三个滚珠,其中A为标准件,直径为d0。当用波长为λ的单色光照射该装置时,在M上方观察到等厚条纹如图2.3-5(B)所示。轻压C端,条纹间距变大。若B珠直径记为d1、C珠直径记为d2,则它们与d0的关系分别是()。
A:d1=d0+λ,d2=d0+3λ
B:d1=d0-λ,d2=d0-3λ
C:d1=d0+λ/2,d2=d0+3λ/2
D:d1=d0-λ/2,d2=d0-3λ/2
只可进行一次编程的可编程器件有()。
A:PAL
B:GAL
C:PROM
D:PLD
图4-39所示机构中,杆O1A=O2B,O1A∥O2B,杆O2C=O3D,O2C∥O3D,且O1A=20cm,O2C=40cm,CM=MD=30cm,若杆O1A以角速度ω=3rad/s匀速转动,则M点速度的大小和B点加速度的大小分别为()。
A:60cm/s,120cm/s2
B:120cm/s,150cm/s2
C:60cm/s,360cm/s2
D:120cm/s,180cm/s2
不属于
PLD基本结构部分的是()。
A:与门阵列
B:或门阵列
C:与非门阵列
D:输入缓冲器
泵与风机几何相似,表示原型与模型的泵与风机()。
A:叶轮直径互成比例
B:叶轮进、出口宽度互成比例
C:结构形式一样
D:各过流部件对应线性尺寸成同一比例,对应安装角相等,叶片数目相等
操作冲击试验时,相间电压等于1.5倍试验电压。()
变压器为什么要进行冲击电压试验?冲击电压标准以什么为依据?
下列器件有多个输出端的是()。
A:译码器
B:数据选择器
C:数值比较器
D:加法器
等截面直杆受拉力P作用,若选用三种不同的截面形状:圆形、正方形、空心圆,比较材料的用量,则是()。
A:正方形截面最费料
B:圆形截面最省料
C:空心圆截面最省料
D:三者用料相同
改变下列哪个条件才能使多数反应的速率常数增大()。
A:增加压力
B:加催化剂
C:升高温度
D:增加反应物浓度
求解质点动力学问题时,质点运动的初始条件是用来()。
A:分析力的变化规律
B:确定积分常数
C:建立质点运动微分方程
D:分离积分变量
集成D/A转换器不可以用来构成()。
A:D.加法器
B:B.程控放大器
C:C.数—模转换
D:D.波形发生电路
CPU即中央处理器,包括()
A:内存和外存
B:运算器和控制器
C:控制器和存储器
D:运算器和存储器
下列对双积分型ADC特点的描述,正确的是()。
A:抗交流干扰能力强
B:工作性能稳定
C:工作速度高
D:工作速度低
两台泵并联运行时,为提高并联后增加流量的效果,下列说法中正确的是()
A:管路特性曲线应平坦一些,泵的性能曲线应陡一些
B:管路特性曲线应平坦一些,泵的性能曲线应平坦一些
C:管路特性曲线应陡一些,泵的性能曲线应陡一些
D:管路特性曲线应陡一些,泵的性能曲线应平坦一些
铁心与钢垫脚之间有垫脚绝缘,它承受着很大的压力。大修时检测其绝缘是否良好使用的仪表是()。
A:电压表;
B:兆欧表;
C:电流表;
D:瓦特表。
一般来说,异种网络互联与多个子网互联都应采用()来完成。
A:交换机
B:HUB
C:网关
D:路由器
盘车方法有__________、_________、_________。
当容器内工质压力大于大气压力时,工质处于()。
A:正压状态;
B:负压状态;
C:标准状态;
D:临界状态。
已知某三相电源的相电压
,当t=12s时,三个线电压之和为()。
A:380V
B:0V
C:
D:无法计算
下面正确的描述是()。
A:模拟信号的频谱一定是连续的
B:模拟信号的频谱是离散的
C:不同的模拟信号可能具有相同的频谱
D:不同的模拟信号具有不同的频谱,二者一一对应
EPCglobal建立的网络架构又称为(),利用现有I立起一个庞大的物品信息交换网络,并且使所有参与流通的物品都具有唯一的产品电子码。
A:商品流通网
B:物品流通网
C:物品交换网
D:物联网
首页
<上一页
128
129
130
131
132
下一页>
尾页