自考题库
首页
所有科目
自考历年真题
考试分类
关于本站
游客
账号设置
退出登录
注册
登录
出自:电气工程公共基础
用什么手段来分析与判断雷电冲击试验的结果?
CH3OH和H2O分子之间存在的作用力为()。
A:色散力
B:色散力、诱导力
C:色散力、诱导力、取向力
D:色散力、诱导力、取向力、氢键
使用千分尺时,首先应___________。
如果一个十六进制数和一个八进制数的数字信号相同,那么()。
A:这个十六进制数和八进制数实际反映的数量相等
B:这个十六进制数两倍于八进制数
C:这个十六进制数比八进制数少8
D:这个十六进制数与八进制数的大小关系不定
在逻辑代数中,下列推断错误的是()。
A:如果A+B=A+C,则B=C
B:如果AB=AC,则B=C
C:如果A+1=1,则A=0
D:如果A+A=A,则A=1
设随机变量X与Y相互独立,且X在区间[0,2]上服从均匀分布,Y服从参数为3的指数分布,则数学期望E(XY)等于()。
A:1
B:3
变直径管流,细断面直径为d1=30mm,雷诺数为5000,粗断面直径d2=2d1,则粗断面管中雷诺数是()。
A:5000
B:4000
C:2500
D:1250
与外存储器相比,内存储器()。
A:存储量大,处理速度较快
B:存储量小,处理速度较快
C:存储量大,处理速度较慢
D:存储量小,处理速度较慢
介质损失角试验能够反映出绝缘所处的状态,正确的是()。
A:对局部缺陷反应灵敏,对整体缺陷反应不灵敏;
B:对整体缺陷反应灵敏,对局部缺陷反应不灵敏;
C:对整体缺陷和局部缺陷反应都不灵敏;
D:对局部缺陷和整体缺反应都灵敏。
关于吸入室的论述,哪一个完全正确?()。
A:圆环形吸入室的特点是结构简单,制造方便,流体在吸入室内流动时,流速是逐渐增加的,因而使流速分布更趋向均匀,损失较小,主在用于悬臂式离心泵
B:锥形管吸入室的优点是结构简单紧凑,轴向尺寸较短;缺点是流体进入叶轮的损失较大,且流速分布不太均匀,多级泵大多采用。其吸入口损失在泵的总扬程中所占比例不大。
C:半螺旋形吸入室的优点是流体分布均匀,阻力较小,但因进入叶轮前已有预旋,故降低了泵的扬程。半螺旋形吸入室大多应用在单级双吸离心泵上。
D:三者都不正确。
某省跨海大桥项目,在招标文件中明确规定提交投标文件截止时间为2009年3月8日上午8时30分,开标地点为建设单位十一楼大会议室。有甲、乙、丙、丁、戊五家单位参与投标,根据招标投标法的有关规定,下列说法正确的是()。
A:开标时间是2009年3月8B上午8时30分之后的某一时间
B:可以改变开标地点
C:开标由该建设单位主持
D:由于丙单位中标,开标时只要邀请丙单位参加即可
一台三相电动机运行于中性点接地的低压电力系统中,操作员碰及外壳导致意外触电事故,事故的原因是()。
A:输入电动机的两相电源线短路,导致机壳带电
B:输入电动机的某相电源线碰壳,而电动机未采取过载保护
C:电动机某相绝缘损坏碰壳,而电动机未采取接地保护
D:电动机某相绝缘损坏碰壳,而电动机未采取接零保护
()是建筑生产中最基本的安全管理制度,是所有安全规章制度的核心。
A:质量事故处理制度
B:质量事故统计报告制度
C:安全生产责任制度
D:安全生产监督制度
油浸式变压器和干式变压器的温升试验都可以采用短路法.( )
若变压器线圈匝间短路造成放电,轻瓦斯保护动作,收集到的为()气体。
A:红色无味不可燃;
B:黄色不易燃;
C:灰色或黑色易燃;
D:无色。
下面说法中正确的是()。
A:计算机地址总线所包含的二进制位数称为字长
B:计算机数据总线所包含的二进制位数称为字长
C:计算机控制总线所包含的二进制位数称为字长
D:计算机内存所包含的二进制位数称为字长
简述绝缘试验的试验顺序?
TTL与非门阀值电压UT的典型值是()。
A:0.4V
B:1.4V
C:2V
D:2.4V
电力变压器装设水银温度计刻度为()。
A:0~50℃
B:0~100℃
C:0~120℃
D:0~45℃
10kV及220kV电压等级套管带电部分对地及其他带电体之间的空气间隙为多少?10kV及35kV电压等级套管带电部分到接地部分的油间隙是多少?
用于传输文件协议的是()。
A:FTP
B:SMTP
C:TELNET
D:HTTP
以下有关投标文件的说法不符合《招标投标法》的是()。
A:投标文件的编制应当符合招标文件的要求
B:投标人应当在招标文件确定的提交投标文件的截止时间前送达投标文件
C:投标文件送达招标人后,不得修改、补充或者撤回
D:投标人不得以低于成本的报价竞标,但可以与其他投标人组成一个联合体,以一个投标人的身份投标
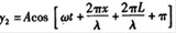
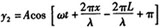
设沿弦线传播的一入射波的表达式为y1=Acos(ωt-2πx/λ),波在x=L处(B点)发生反射,反射点为自由端(如图),设波在传播和反射过程中振幅不变,则反射波的表达式y2为()。
A:
B:
C:
D:
在权电阻型D/A转换器中()。
A:输出端需接由运放构成的跟随器
B:每个权电阻都接在相应的开关上
C:相邻电阻的比值都是2倍的关系
D:相邻电阻的比值都不是2倍的关系
在做绝缘装配试验时,通过()可以发现匝间短路的问题。
A:电压比和联结组别试验。
B:单相空试试验(并联试验)
C:铁心.夹件.线圈间的绝试验
D:以上三个答案都正确。
三相一次自动重合闸装置通常由_________元件、_________元件、_________元件和_________元件。
从事工程建设项目招标代理业务的代理机构,其资格由国务院或者省、自治区、直辖市人民政府的建设行政主管部门认定。从事其他招标代理业务的代理机构,其资格认定的主管部门由( )规定。
A:国务院
B:省、自治区、直辖市人民政府
C:县级以上人民政府
D:国家建设行政主管部门
Internet采用的基础协议是()。
A:HTML
B:OSMA
C:SMTP
D:TCP/IP
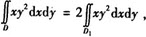
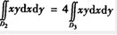
下列等式中,错误的是().
A:
,其中D={(x,y)
B:B.
其中D与中相同,D1={(x,y)
C:
D:D.
,其中D2、D3与中相同
什么是景深?产生景深的原因是什么?
首页
<上一页
127
128
129
130
131
下一页>
尾页